定義
不可靠度
不可靠度
不可靠度
不可靠度可靠度(Reliability)可定義為“產品在規定的條件下和規定的時間內完成規定功能的機率”.通常以“ ”表示。考慮到它是時間的函式,又可表示為 ,稱為 可靠度函 數。 描述了產品在 時間段內保持正常功能的機率。就機率分布而言,它又叫作 可靠度分布函式,並且是累積分布函式。它表示在規定的使用條件下和規定的時間內,無故障地發揮規定功能而工作的產品占全部工作產品(累積起來)的百分率。
不可靠度
不可靠度
不可靠度
不可靠度與可靠度相對應的有 不可靠度,它表示“產品在規定的條件下和規定的時間內不能完成規定功能的機率”,因此又稱為 失效機率,記為 。失效機率 也是時間 的函式,故又稱為 失效機率函式或 不可靠度函式,並記為 。它也是累積分布函式,故又稱為 累積失 效機率 。
機率公式及圖像
不可靠度
不可靠度可靠度 或 的取值範圍是
不可靠度
不可靠度
不可靠度
不可靠度
不可靠度若“產品在規定的條件下和規定的時間內完成規定功能”這一事件 的機率以 表示,則可靠度作為描述產品正常工作時間(壽命)這一隨機變數 的機率分布可寫成
不可靠度
不可靠度
不可靠度
不可靠度
不可靠度
不可靠度事件 有下列三個含義:產品在時間 內完成規定的功能;產品在時間 內無故障;產品的壽命 大於 。
不可靠度與可靠度呈互補關係,即
不可靠度
不可靠度由定義可知,可靠度與不可靠度都是對一定時間而言的,若所指時間不同,同一產品的可靠度值也就不同。
不可靠度
不可靠度
不可靠度
不可靠度設有 個同批產品,從開始工作 到任意時刻 ,有 件產品失效,則產品的可靠度為
不可靠度
不可靠度
不可靠度(到 時刻仍正常工作的產品數/產品總數)
不可靠度一般而言,可靠度與不可靠度(累積失效機率)的關係如圖1所示 。
圖1 可靠度與不可靠度的關係
不可靠度
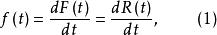
不可靠度對不可靠度函式 求導,則得 失效密度函式 ,即
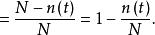
不可靠度由式(1)可得
不可靠度
不可靠度失效密度函式又稱為 故障密度函式。可靠度函式與不可靠度函式如圖2(a)所示,對應的失效密度函式如圖2(b)所示。
不可靠度由圖2可見,不可靠度函式為 累積失效密度函式 。
圖2(a)可靠度函式與不可靠度函式
圖2(b) 失效密度函式