基本內容
三磷酸腺苷在生物化學中,三磷酸腺苷(Adenosine triphospha
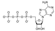
te, ATP)是一種核苷酸(又叫腺苷三磷酸),作為細胞內能量傳遞的“分子通貨”,儲存和傳遞化學能。ATP在核酸合成中也具有重要作用。ATP是三磷酸腺苷的英文名稱縮寫。ATP分子的結構是可以簡寫成A-P~P~P,其中A代表腺苷,P代表磷酸基團,~代表一種特殊的化學鍵,叫做高能磷酸鍵,高能磷酸鍵斷裂時,大量的能量會釋放出來。ATP可以水解,這實際上是指ATP分子中高能磷酸鍵的水解。高能磷酸鍵水解時釋放的能量多達30.54kJ/mol,所以說ATP是細胞內一種高能磷酸化合物。
化學性質
ATP由腺苷和三個磷酸基所組成,分子式C10H16N5O13P3,化學簡式C10H8N4O2NH2(OH)2(PO3H)3H,分子量507.184。三個磷酸基團從腺苷開始被編為α、β和γ磷酸基。ATP的化學名稱為5'-三磷酸-9-β-D-呋喃核糖基腺嘌呤,或者5'-三磷酸-9-β-D-呋喃核糖基-6-氨基嘌呤。
供能方式
ATP與ADP的相互轉換在ATP與ADP的轉化中,ATP的第2個高能磷酸鍵
位於末端,能很快地水解斷裂,釋放能量。同樣,在提供能量的條件下,也容易加上第3個磷酸使ADP又轉化為ATP。對於動物和人類來說,ADP轉化成ATP時所需要的能量,來自呼吸作用;對於綠色植物來說,ADP轉化成ATP時所需要的能量,來自呼吸作用和光合作用。構成生物體的活細胞,內部時刻進行著ATP與ADP的相互轉化,同時也就伴隨有能量的釋放和儲存。因其是能量“攜帶”和“轉運”者,生物學家形象地稱ATP為“能量通貨”。
合成
ATP的立體結構ATP可通過多種細胞途徑產生,最典型的如線上粒體中通過氧化磷酸化由ATP合成酶合成,或者在植物的葉綠體中通過光合作用合成。ATP合成的主要能源為葡萄糖通過氧化分解釋放的能量。每分子葡萄糖先在細胞質基質中產生2分子丙酮酸,最終線上粒體內膜中通過三羧酸循環產生最多36molATP。
重複利用
人體中ATP的總量只有大約0.1摩爾。人體細胞每天的能量需要水解200-300摩爾的ATP,這意味著每個ATP分子每天要被重複利用2000-3000次。ATP不能被儲存,因為ATP的合成後必須在短時間內被消耗。
ADP與GTP的反應
ADP+GTP→ATP+GDP
二磷酸腺苷+三磷酸鳥苷→三磷酸腺苷+二磷酸鳥苷
C10H15N5O10P2+C10H16N5O14P3→C10H16N5O13P3+C10H15N5O11P2
ATP可能會被作為納米技術和灌溉的能源。人工心臟起搏器可能收益於這種技術而不再需要電池提供動力。
三磷酸腺苷是體內廣泛存在的輔酶,是體內組織細胞所需能量的主要來源,蛋白質、脂肪、糖和核苷酸的合成都需ATP參與。ATP經腺苷酸環化酶催化形成環磷酸腺苷(cAMP),是細胞內的生物活性物質,對細胞許多代謝過程有重要的調節作用。
ATP為蛋白質、糖原、卵磷脂、尿素等的合成提供能量,促使肝細胞修復和再生,增強肝細胞代謝活性,對治療肝病有較大針對性。但外源性ATP不易進入細胞,且與體內需要的量比較,可能提供的量微不足道。
基本內容
三磷酸腺苷(Adenosine Triphosphate,ATP)
【異名】腺三磷。
【主要成分】三磷酸腺苷。
【藥理作用】本品為一種輔酶。有改善肌體代謝的作用,參與體內脂肪、蛋白質、糖、核酸及核苷酸的代謝,同時又是體內能量的主要來源。適用於細胞損傷後細胞酶減退引起的疾病。動物試驗發現本品對心肌細胞的電生理有明顯作用,可抑制慢反應細胞的鈣離子內流,阻斷和延長房室結折返環路的前向傳導,大劑量尚可阻斷房室旁路的折返性,具有增強迷走神經的作用,可用室上性心動過速。
【適應證】室上性心動過速、心力衰竭、心肌炎、心肌梗塞、腦動脈硬化、冠狀動脈硬化、急性脊髓灰質炎。
【不良反應】頭痛、頭昏、出冷汗、胸悶、低血壓等。偶可見關節酸痛、蕁麻疹等。
【禁忌證】對本品過敏、腦出血急性期、病竇綜合徵禁用。
【用法用量】肌注或靜註:20mg/次,1~3次/日。
【注意事項】1、靜注宜緩慢,以免引起頭暈、頭脹、胸悶、低血壓等。2、治療快速型室上性心律失常時,首劑常用20mg用葡萄糖液稀釋至5ml於20秒內快速靜滴,若無效則間隔5分鐘,再注入30mg,單劑注入量不超過40mg。由於本品在終止室上性發作過程中,可發生多種心律失常和全身反應,儘管是瞬間反應,不需處理,但仍有一定潛在危險,故使用本藥時宜連續心電圖監測,密切注意病人的全身反應。3、治療劑量宜小劑量開始,無效時逐漸加量。4、本品對竇房結有明顯抑制,故對病竇綜合徵、竇房結功能不全、老年人慎用或不用。5、部分療效不確切,應引起注意切勿濫用。
人體供能
無氧代謝劇烈運動時,體內處於暫時缺氧狀態,
在缺氧狀態下體內能源物質的代謝過程,稱為無氧代謝。它包括以下兩個供能系統。
①非乳酸能(ATP—CP)系統—一般可維持10秒肌肉活動
無氧代謝
②乳酸能系統—一般可維持1~3分的肌肉活動
非乳酸能(ATP—CP)系統和乳酸能系統是從事短時間、
劇烈運動肌肉供能的主要方式。ATP釋放能量供肌肉收縮的時間僅為1~3秒,
要靠CP分解提供能量,但肌肉中CP的含量也只能夠供ATP合成後
分解的能量維持6~8秒肌肉收縮的時間。因此,
進行10秒以內的快速活動主要靠ATP—CP系統供給肌肉收縮時的能量。
乳酸能系統是持續進行劇烈運動時,肌肉內的肌糖元在缺氧狀態下進行酵解,
經過一系列化學反應,最終在體內產生乳酸,同時釋放能量供肌肉收縮。
這一代謝過程,可供1~3分左右肌肉收縮的時間。
禽用機理
【作用與用途】1.用於肉雞、肉鴨、豬、肉牛、肉羊、魚、蝦等肉質動物的增肥、促生長;2.用於因疾病導致的動物飲水、採食量下降,快速補充機體能量水平;3.使用本品能促使動物發病後快速恢復健康;4.適用於動物因疾病、藥物、毒素等各種致病因素引起的肝臟損傷、腎臟損傷、腸黏膜損傷、輸卵管損傷後的修復。
【用法用量】
飲水:本品100克兌水500公斤,連用3-5天
混飼:本品100克拌料250公斤,連用3-5天
適用動物:各種生長階段的雞、豬、鴨、鵝、牛、羊、毛皮動物、寵物等
【臨床實際套用】
一、用於雛禽使用,促進卵黃吸收,增強體質,降低死淘率,提高首免效果
推薦方案:ATP+防治細菌垂直感染的藥物如頭孢噻惡等 連用5-7天
二、用於動物因疾病、藥物、毒素等各種致病因素引起的肝臟損傷、腎臟損傷,治療肝腫、腎腫、尿酸鹽沉積,痛風,保肝健腎:
推薦方案:ATP單用 連用3-5天
特別說明:治療腎傳支時使用ATP+健腎藥效果更佳
三、用於因疾病導致的動物飲水、採食量下降,快速補充機體能量水平,恢復健康,增進採食:
推薦方案:ATP 連用3-5天
四、用於動物因疾病、藥物、毒素等各種致病因素引起的腸黏膜損傷、輸卵管損傷後的修復,病禽表現拉料便,蛋殼質量不佳:
推薦方案:ATP單用 或ATP+魚肝油粉 連用3-5天
五、用於疫苗接種前後使用,給免疫細胞提供能量,增強其對抗原的應答,提高抗體滴度:
推薦方案:防疫前1-2天、後1-2天及當天使用
六、用於病毒、細菌、球蟲等引起的呼吸道病、腸道病及生殖系統疾病的輔助治療:
推薦方案:ATP+相應治療藥
【注意事項】本品可與任何藥物混混用;不可與消毒藥混用。
主要功能
科技日報訊據英國《自然通訊》期刊3月12日發表的論文稱,一種利用癌症細胞內部的“能量分子”來引起在腫瘤部位釋放藥物的載體,現被證明可成功治療小鼠的癌症。該成果證實了現有一種新工具可將抗癌藥物直接導入到癌細胞中,或許提供了又一種治療癌症的方法。
納米粒子已經可以將藥物輸送到腫瘤部位,但需要提高對於腫瘤細胞的治療靶向性。三磷酸腺苷(ATP)分子能為細胞代謝提供能量,它作為一種核苷酸,就像細胞內能量傳遞的“分子貨幣”,負責儲存和傳遞化學能,是生物體內最直接的能量來源。ATP的好處是促使機體各種細胞的修復和再生,增強細胞代謝活性,但以往科學實驗發現,癌細胞處於一個可使細胞快速增殖的獨特代謝程式中,癌細胞中也往往具有更多的ATP。
美國北卡羅來納大學教堂山分校教授顧臻(音譯)與其科研團隊決定利用癌症細胞的這一特點來開發治療手段。他們描述了一種依靠高濃度ATP引起化療藥物阿黴素釋放的納米粒子藥物載體,在周圍存在ATP時,該載體會改變形狀從而釋放藥物。
這其實是一種外殼摻入透明質酸(HA)的球形納米顆粒,當靶標癌細胞與HA接觸時,細胞會吸收整個納米顆粒。納米顆粒在癌細胞內部分解,釋放出一些包含抗癌藥物多柔比星(Dox)的複合DNA分子,Dox則靶向癌細胞的細胞核。研究人員將這些DNA分子設計成只有在與高濃度的ATP接觸時才會展開釋放藥物,而這種高水平ATP通常只存在於細胞內部,因此釋放時距離細胞核非常近。
研究人員隨後在實驗中發現,新方法可以增強培養細胞和小鼠體內阿黴素引起的癌症細胞凋亡。
刺激觸發遞藥系統已在相關醫藥領域越來越多地被使用。這是科研團隊第一次將細胞中普遍套用的能量載體——ATP作為控制釋放抗癌藥物的觸發器,使藥物直接導入癌細胞中,從而提供了一個更為複雜的藥物輸送機制,其可以區分ATP水平,促進藥物的選擇性釋放,而這些成果都將有助於開發新的治癌策略。

