基本信息
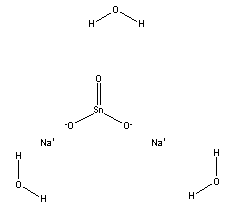
中文名稱:三水錫酸鈉英文名稱:Sodium stannate trihydrate
英文別名:SODIUM STANNATE(IV) TRIHYDRATE; sodium oxostannanediolate hydrate (2:1:3)
CAS:12209-98-2
EINECS:235-030-5

分子式:H6Na2O6Sn
分子量:266.7336

英文名稱:Sodium ediolate hydrate

乙酸鈉一般以帶有三個結晶水的三水合乙酸鈉形式存在。三水合乙酸鈉為無色透明或白色顆粒結晶,在空氣中可被風化,可燃。易溶於水,微溶於乙醇,不溶於乙醚。123...
編號系統 物性數據 計算化學數據 毒理學數據 化學反應被金屬取代後的生成物。重要的有乙酸鈉、乙酸鉀、乙酸銨、乙酸鉛、乙酸鋅...(Acetate),因此乙酸和乙酸鈉分別以“HAc”和“NaAc”來表示。雖然...酸鈉乙酸鈉一般以帶有三個結晶水的三水合乙酸鈉形式存在。三水合乙酸鈉為無色...
簡介 乙酸根離子 符號 乙酸 乙酸鈉公司主要銷售地區:廣東,湖南,廣西,海南,廣州,佛山,南海,三水,順德...氫鋅, 六偏磷酸鈉,焦磷酸鈉,焦磷酸鉀, 焦磷酸銅,焦磷酸錫,焦磷酸亞錫,6.氯化銨,氯化鉀,氯化鈣,氯化鋅, 氯化鋇,氯化銅,氯化錫,氯酸鈉...
2400噸、硫鐵礦3500萬噸、錫1267萬噸、硼101萬噸,華南地區最大...;園區位於湘江、蒸水、耒水交匯處,三水四季通航,從衡陽至岳陽城陵磯兩千噸...、錫等居全省第二位,煤炭、銅、滑石三種居全省第三位。岩鹽資源儲量達140...
園區簡介 衡陽簡介 發展規劃 優惠政策 發展動態1 2 3 碳酸鈉 40~60 50~60 40~50 鉻酸鈉...耐磨,可以點焊或氬弧焊,但不能錫焊;主要用於要求有一定導電性能的鋁合金...
處理 陽極氧化 封閉處理