基本介紹
三次插值法
三次插值法
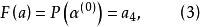
三次插值法三次插值法是在1959年由Davidon首先提出來的,它是用三次插值多項式 逼近 ,而求 的近似最小點的一種疊代算法。
二次多項式逼近法也稱拋物線法,它的原理是利用三個函式值來構造一個二次多項式逼近原來的函式。當函式的導數不難求得時,可以利用兩個點處的函式與導數來構造三次多項式逼近原來的函式。
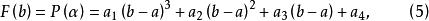
三次插值法為了保證極小點在給定區間的內部,要求函式在a點的右邊下降,而在b點的右邊上升。如果用a、 b兩點的導數表示,即
三次插值法且
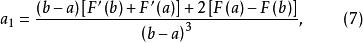
三次插值法其幾何意義如圖1所示。
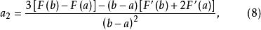
·
圖1相關分析
設三次多項式的一般形式為
三次插值法
三次插值法
三次插值法其中 是四個待定係數,它可由a、b兩點的函式值及其一階導數列出四個方程式,則可求得四個係數值。因為
三次插值法
三次插值法若步長從a點計算起,即 ,由此可得:
三次插值法
三次插值法
三次插值法又若 ,得
三次插值法
三次插值法聯立解(3)~(6)式得出:
三次插值法
三次插值法
三次插值法
三次插值法
三次插值法
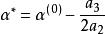
三次插值法現要求在內的極小點作為原目標函式F(x)的極小點的一個近似,為此要求出方程:
三次插值法
三次插值法在內的根,並根據極小點的充分條件,在此根處應有二階導數大於零,即
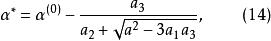
三次插值法式(11)的兩個根
三次插值法將式(13)代入式(12),得
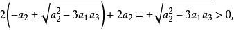
三次插值法因為是求極小值,故根前應取正號,變換(13)式為:
三次插值法得
三次插值法
三次插值法
三次插值法
三次插值法當時,,是二次插值的情況;如,則是三次插值 。

