基本介紹
多項式是逼近函式的一種常用的工具,在尋求函式極小點的區間上,可以利用在若干點處的目標函式值來構造一個多項式,作為目標函式的近似表達式,並用這個多項式的極小點作為原目標函式極小點的近似,重複套用這一方法進行疊代計算,直到得出滿意的結果為止,這種方法稱為 插值法。常用的插值法有線性插值(切線法)、三次插值法、二次插值法,前兩種方法均要進行導數計算,下面介紹比較簡單常用的二次插值法又稱 拋物線插值法 。
方法步驟
拋物線插值法
拋物線插值法設目標函式是連續的,三點滿足
拋物線插值法
拋物線插值法構造拋物線
拋物線插值法使
拋物線插值法
拋物線插值法
拋物線插值法
拋物線插值法
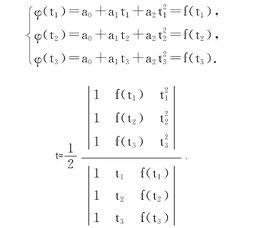
拋物線插值法只要不為同一值,則就是一確定的拋物線,其中係數可由條件(2)定出,若記,則式(2)變成
拋物線插值法
拋物線插值法
拋物線插值法
拋物線插值法
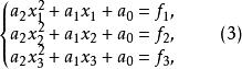
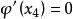
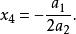
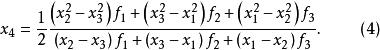
拋物線插值法設拋物線的極小點為,則應滿足,即
拋物線插值法因此
拋物線插值法利用克萊姆法則解方程組(3)並代入上式可得
拋物線插值法
拋物線插值法
拋物線插值法
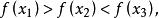
拋物線插值法由於三點函式值滿足“兩頭高,中間低”,故由此決守的拋物線,其極小點自然落在區間之內,這在幾何上是明顯的。
拋物線插值法
拋物線插值法
拋物線插值法
拋物線插值法
拋物線插值法
拋物線插值法
拋物線插值法
拋物線插值法
拋物線插值法
拋物線插值法
拋物線插值法
拋物線插值法
拋物線插值法一般說來,僅通過一次工作,用拋物線代替求極小點,誤差可能較大。我們把作為搜尋區間的一個內點,通過比較與的大小,必可在中去掉或,使餘下的三點構成一個新的搜尋區間,且滿足函式值“兩頭高,中間低”的要求,再以這三個點為出發點,重複上述步驟,又可得到一個新的極小點的近似值。如此反覆進行,直到求得的極小點與已知三個點的中間一點滿足,即可終止疊代,為預先給定的正數。
拋物線插值法
拋物線插值法
拋物線插值法
拋物線插值法還應注意的是,在每一次疊代中比較以確定下一次搜尋區間時,拋物線極小點可能落在之左,也可能落在之右 。

