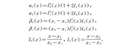
過樣點(二。" .f o ) ,(二,e.ft)滿足條件P}xo)=fo}P} }xo)=f}o}P(二,)=.ft }1'} }xl)=.ftt的插值多項式P(二)=.foao(二)+.fto}o}x)+.ftat(二)}.f}t }t }.z )稱為兩點三次帶導數插法公式,其中
兩點三次帶導數插值兩點三次帶導數插值是埃爾米特插值中最基本、最常用的一種(參見“埃爾米特插值”).
兩點三次帶導數插值(two-point cubic interpo-lation with derivative)一種多項式插值.指過兩點滿足函式值及導數值插值條件的插值.
過樣點(二。" .f o ) ,(二,e.ft)滿足條件P}xo)=fo}P} }xo)=f}o}P(二,)=.ft }1'} }xl)=.ftt的插值多項式P(二)=.foao(二)+.fto}o}x)+.ftat(二)}.f}t }t }.z )稱為兩點三次帶導數插法公式,其中
兩點三次帶導數插值兩點三次帶導數插值是埃爾米特插值中最基本、最常用的一種(參見“埃爾米特插值”).
插值是離散數學名詞,指用來填充圖像變換時像素之間的空隙。插值是離散函式逼近的重要方法,利用它可通過函式在有限個點處的取值狀況,估算出函式在其他點處的近似...
發展歷史 主要內涵 基本類型 編程使用插值是離散數學名詞,指用來填充圖像變換時像素之間的空隙。插值是離散函式逼近的重要方法,利用它可通過函式在有限個點處的取值狀況,估算出函式在其他點處的近似...
發展歷史 主要內涵 基本類型 編程使用。兩角和的餘弦值,化為單角好求值, 餘弦積減正弦積,換角變形眾公式。和...三角函式值,再判角取值範圍; 利用直角三角形,形象直觀好換名,簡單三角...,捆綁插空是技巧。排列組合恆等式,定義證明建模試。 關於二項式定理...
簡介 公式口訣 必修1 必修2 必修3