定義
判別式即判定方程實根個數及分布情況的公式。
一元二次方程判別式
△[數學中的方程用語]
△[數學中的方程用語]
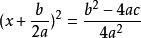
△[數學中的方程用語]任意一個一元二次方程 均可配成 ,因為a≠0,由平方根的意義可知, 的符號可決定一元二次方程根的情況.
△[數學中的方程用語]
△[數學中的方程用語]
△[數學中的方程用語]叫做一元二次方程 的根的判別式,用“△”表示(讀做“delta”),即△= .
一元二次方程根的情況
方程係數為實數
△[數學中的方程用語]在一元二次方程 中
(1)當△>0時,方程有兩個不相等的實數根;
(2)當△=0時,方程有兩個相等的實數根;
(3)當△<0時,方程沒有實數根,方程有兩個共軛虛根.
(1)和(2)合起來:當△≥0時,方程有實數根.
上面結論反過來也成立,可以具體表示為:
△[數學中的方程用語]在一元二次方程 (a≠0,a、b、c∈R)中,
①當方程有兩個不相等的實數根時,△>0;
②當方程有兩個相等的實數根時,△=0;
③當方程沒有實數根時,△<0。
(1)和(2)合起來:當方程有實數根時,△≥0.
△[數學中的方程用語]
△[數學中的方程用語]注意 根的判別式是△= ,而不是△= 。
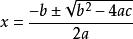
一元二次方程求根公式:
△[數學中的方程用語]
△[數學中的方程用語]
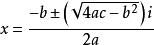
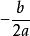
△[數學中的方程用語]當Δ= ≥0時, ,當Δ=0時,x= ;
△[數學中的方程用語]
△[數學中的方程用語]當Δ= <0時, (i是虛數單位)
方程係數為虛數
△[數學中的方程用語]在一元二次方程 (a、b、c是虛數)中
當Δ≥0時,此方程有兩個相等的復根;
當Δ<0時,此方程有兩個不等的復根。
一元二次方程判別式的套用
(1)解方程,判別一元二次方程根的情況.
它有兩種不同層次的類型:
①係數都為數字;
②係數中含有字母;
③係數中的字母人為地給出了一定的條件.
(2)根據一元二次方程根的情況,確定方程中字母的取值範圍或字母間關係.
(3)套用判別式證明方程根的情況(有實根、無實根、有兩不等實根、有兩相等實根)
套用
① 解一元二次方程,判斷根的情況。
② 根據方程根的情況,確定待定係數的取值範圍。
③ 證明字母係數方程有實數根或無實數根。
④ 套用根的判別式判斷三角形的形狀。
⑤ 判斷當字母的值為何值時,二次三項是完全平方式
⑥ 可以判斷拋物線與直線有無公共點
聯立方程。
⑦ 可以判斷拋物線與x軸有幾個交點
△[數學中的方程用語]
△[數學中的方程用語]
△[數學中的方程用語]
△[數學中的方程用語]
△[數學中的方程用語]
△[數學中的方程用語]拋物線 與x軸的交點 (1)當y=0時,即有 ,要求x的值,需解一元二次方程 。可見,拋物線 與x軸的交點的個數是由對應的一元二次方程 的根的情況確定的,而決定一元二次方程 的根的情況的,是它的判別式的符號,因此拋物線與x軸的交點有如下三種情形:
△[數學中的方程用語]1)當Δ>0時,拋物線與x軸有兩個交點,若此時一元二次方程 的兩根為x1、x2,則拋物線與x軸的兩個交點坐標為(x1,0)(x2,0)。
△[數學中的方程用語]2)當Δ=0時,拋物線與x軸有唯一交點,此時的交點就是拋物線的頂點,其坐標是( ,0)。
3)當 Δ<0時,拋物線與x軸沒有交點。
⑧ 利用根的判別式解有關拋物線(Δ>0)與x軸兩交點間的距離的問題。
⑨當a>0時,拋物線開口向上,當a<0時,拋物線開口向下。
一元三次方程判別式
△[數學中的方程用語]
△[數學中的方程用語]
△[數學中的方程用語]
△[數學中的方程用語]
△[數學中的方程用語]
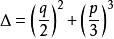
△[數學中的方程用語]在特殊形式的一元三次方程ax^3+bx+c=0中,其判別式為 。當 時,有一個實根和兩個復根; 時,有三個實根,當 時,有一個三重零根, 時,三個實根中有兩個相等; 時,有三個不等實根。
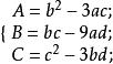
在一般形式的一元三次方程ax^3+bx^2+cx+d=0中,一般採用盛金判別法,即
△[數學中的方程用語]令 。
當A=B=0時,方程有一個三重實根。
當Δ=B -4AC>0時,方程有一個實根和一對共軛虛根。
當Δ=B -4AC=0時,方程有三個實根,其中有一個二重根。
當Δ=B -4AC<0時,方程有三個不相等的實根。
