簡介
再生核又稱為重建核,它定量地給出了小波基的相關性和冗餘性。
再生核[數學用語]
再生核[數學用語]
再生核[數學用語]
再生核[數學用語]從小波基函式的定義可以猜想,如果a,τ參數連續變化,得到的小波基將是冗餘的。或者這樣理解:如果在尺度-位移平面上的兩個點 和 很靠近,那么得到的小波基函式 和 形狀和大小很接近,位置也很靠近,它們具有很強的相關性,而且隨著兩個點的更加靠近,相關性增強,反之則相關性減弱。存在相關性就意味著不正交(因為根據機率論的知識,正交必定不相關),因此就存在著冗餘。
推論
再生核[數學用語]
再生核[數學用語]
再生核[數學用語]尺度-位移連續變化的小波基函式 形成了一組非正交的過度完全基。其中的“過度”表示這一組基含有冗餘性,“完全”表示這一組基可以完全覆蓋整個尺度一位移平面,這樣,任意一個信號都可以用這些基來分解表示。在 a-τ平面上任意兩點 和 ,其對應的小波基函式之間究竟有多大的相關性,這就需要用再生核來描述和刻畫。從再生核的定義式,即
再生核[數學用語]
再生核[數學用語]
再生核[數學用語]
再生核[數學用語]
再生核[數學用語]
再生核[數學用語]
再生核[數學用語]
再生核[數學用語]
再生核[數學用語]
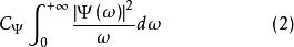
再生核[數學用語]可以看出,式(1)實質上是計算函式內積 ,只是比例係數稍有不同。在數學上,內積實質上表示了兩個函式的“相似”程度。如果兩個信號矢量 與 完全垂直,那么內積 再生核 表示兩個信號矢量完全不相關。如果矢量 與 完全平行,那么內積 和再生核 都分別取得最大值,表示兩個信號矢量完全相關。式(1)中的係數為
再生核[數學用語]
再生核[數學用語]
再生核[數學用語]
再生核[數學用語]
再生核[數學用語]
再生核[數學用語]
再生核[數學用語]
再生核[數學用語]
再生核[數學用語]表征了a-τ平面上任意兩點對應的小波基函式之間的相關性,此外, 也可以表征連續小波變換係數 和 之間的相關性大小。如果變換係數之間有一定的相關性(不正交),就可能從其中一個變換係數恢復(或再生)出另外一個變換係數,因此,再生核的稱謂由此得來。實際上,要完全準確恢復出 ,僅僅依靠 是不夠的,通過 只能提供部分恢覆信息,如果將 的“部分貢獻”表示為
再生核[數學用語]再生核方程
再生核[數學用語]
再生核[數學用語]的完全準確恢復需要a-τ平面上無數個類似於 的點的共同貢獻才能完成,這種無限多個貢獻的累積就歸結為a-τ平面上的二維積分,即
再生核[數學用語]
再生核[數學用語]式(4)稱為重建核方程(或再生核方程)。
