直線的相交
在歐幾里得平面上,兩條直線要么平行,要么相交,要么重合。這時歐幾里得第五公設的推論。相交的兩條直線恰好有一個交點。在非歐幾何中,按幾何特性(曲率),可以分為兩類。羅巴切夫斯基幾何中兩條直線要么平行,要么相交,但平行線不止一條。黎曼幾何中兩條直線總是相交。
三維空間或更高維空間中,兩條直線相交則必定共面。
圓的相交
歐幾里得幾何中,同一平面上的兩個圓之間的關係有四種:相離、相切、相容和相交。相離指兩圓沒有交點而且沒有一個圓在另一個圓內部。相切是指兩圓只有一個交點。相交是指兩圓有多於一個交點。相容是指兩圓沒有交點且一個圓在另一個內部。
兩個圓相交若且唯若兩個圓心之間的距離嚴格小於兩圓的半徑之和,並嚴格大於兩圓的半徑之差。
判別方法
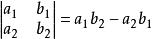
在平面解析幾何中,設兩條直線的方程為:
相交[數學用語]
相交[數學用語]
相交[數學用語]那么 相交若且唯若行列式:
相交[數學用語]不等於零。
對於兩圓相交,設兩個圓的方程是:
相交[數學用語]
相交[數學用語]
相交[數學用語]那么 相交若且唯若:
相交[數學用語]例子
直線
設兩條直線的方程是:
相交[數學用語]
相交[數學用語]
相交[數學用語]由於行列式:,兩直線相交。交點為(1,3)。
設兩條直線的方程是:
相交[數學用語]
相交[數學用語]
相交[數學用語]由於行列式:,兩直線不相交(實際上平行)。
圓
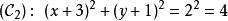
設兩個圓的方程是:
相交[數學用語]
相交[數學用語]
相交[數學用語]這時兩個圓心的距離是:,因此兩圓相交。
![相交[數學用語] 相交[數學用語]](/img/9/fb9/nBnauM3XwMzNxIDO1gzN0ETN1UTM1QDN5MjM5ADMwAjMwUzL4czL2YzLt92YucmbvRWdo5Cd0FmLyE2LvoDc0RHa.jpg)
