定義
在直角三角形中,∠α(不是直角)的對邊與斜邊的比叫做∠α的正弦,記作sinα,即sinα=∠α的對邊/∠α的斜邊 。sina在拉丁文中計做sinus,翻譯的人把印度語當成阿拉伯語翻譯,根據發音最接近的單詞:海灣,翻譯成sinuses。
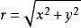
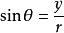
sin[函式名稱]將一個角放入直角坐標系中,使角的始邊與X軸的非負半軸重合,在角的終邊上取一點A(x,y),過A做X軸的垂線,則
sin[函式名稱]正弦的最大值為1,最小值為-1。
三角函式示意圖
a,b,c分別表示直角三角形的三個邊,ABC分別是角a b c 的對邊
a為∠b角的相鄰直角邊,
b為∠α角的相鄰直角邊,
c為直角三角形的斜邊。
Sin B=b/c
Sin A=a/c
定理
正弦函式的定理:在一個三角形中,各邊和它所對角的正弦的比相等,即 a/sin A=b/sin B=c/sin C
正弦函式的定理在三角形求面積中的運用-
S△=c²sinAsinB/2sin(A+B)(S△為三角形的面積,三個角為∠A∠B∠C,對邊分別為a,b,c,)
sin[函式名稱]S△=1/2acsinB=1/2bcsinA=1/2absinC (三個角為∠A∠B∠C,對邊分別為a,b,c,參見三角函式)
另外,當sin值在180~360之間會出現負數,在360以上則會重複。
公式
兩角和差公式
sin[函式名稱]誘導公式
sin[函式名稱]
sin[函式名稱]
sin[函式名稱]
sin[函式名稱]
sin[函式名稱]二倍角公式
sin[函式名稱]特殊值
| 角度 | sin | cos | tan |
| 0 | 0 | 1 | 0 |
| 30(π/6) | sin[函式名稱] | sin[函式名稱] | sin[函式名稱] |
| 45(π/4) | sin[函式名稱] | sin[函式名稱] | 1 |
| 60(π/3) | sin[函式名稱] | sin[函式名稱] | sin[函式名稱] |
| 90(π/2) | 1 | 0 | 不存在 |
| 120(π/2+π/6) | sin[函式名稱] | sin[函式名稱] | sin[函式名稱] |
| 150(π/2+π/3) | sin[函式名稱] | sin[函式名稱] | sin[函式名稱] |
| 180(π) | 0 | -1 | 0 |
| 270(π+π/2) | -1 | 0 | 不存在 |
| 360(2π) | 0 | 1 | 0 |
![sin[函式名稱] sin[函式名稱]](/img/2/9c0/nBnauM3XwIzM0kzN2kzNzQzN1UTM1QDN5MjM5ADMwAjMwUzL5czL2gzLt92YucmbvRWdo5Cd0FmLyE2LvoDc0RHa.jpg)
sin[函式名稱]
sin[函式名稱]
sin[函式名稱]
sin[函式名稱]
sin[函式名稱]
sin[函式名稱]
sin[函式名稱]
sin[函式名稱]
sin[函式名稱] 