英文:Standard Error of Mean
標準誤,即樣本均數的標準差,是描述均數抽樣分布的離散程度及衡量均數抽樣誤差大小的尺度,反映的是樣本均數之間的變異。標準誤不是標準差,是多個樣本平均數的標準差。
標準誤用來衡量抽樣誤差。標準誤越小,表明樣本統計量與總體參數的值越接近,樣本對總體越有代表性,用樣本統計量推斷總體參數的可靠度越大。因此,標準誤是統計推斷可靠性的指標。
定義
標準誤差定義為各測量值誤差的平方和的平均值的平方根,故又稱為均方根誤差。
sem[標準誤]設n個測量值的誤差為 ,則這組測量值的標準差σ等於:
sem[標準誤]
sem[標準誤]
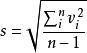
sem[標準誤]由於被測量的真值是未知數,各測量值的誤差也都不知道,因此不能按上式求得標準誤差。測量時能夠得到的是算術平均值( ),它最接近真值( ),而且也容易算出測量值和算術平均值之差,稱為殘差(記為v)。可以用殘差v表示有限次(n次)觀測樣本的標準差s,其計算公式為:
sem[標準誤]對於一組等精度測量(n次測量)數據的算術平均值,其誤差應該更小些。則標準誤等於:
sem[標準誤]