TR101 290標準是用來描述DVB系統的測量準則。在標準中,調製誤差比(MER)指的是被接收信號的單個“品質因數”(figure of merit)。MER往往作為接收機對傳送信號能夠正確解碼的早期指示。事實上,MER是用來比較接收符號(用來代表調製過程中的一個數字值)的實際位置與其理想位置的差值。當信號逐漸變差時,被接收符號的實際位置離其理想位置愈來愈遠,這時測得的MER數值也會漸漸減小。一直到最後,該符號不能被正確解碼,誤碼率上升,這時就處於門限狀態即崩潰點。
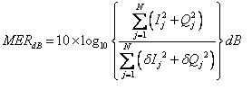
其中,I和Q是理想的QAM接收機相點陣圖中的數據點,δI和δQ是由損傷引起的接收的數據點和理想的QAM相點陣圖的點的誤差,N是在數據抽樣中捕獲的點數。上式中的N是數據抽樣的大小,他一般比相點陣圖中的點數多,為了能捕獲到具有代表性的抽樣。換句話說,它是測量由任何損傷合法設計與理想的相點陣圖點的位置相比的道德不理想導致的相點陣圖族的變化。
MER公式在測量時,矢量分析儀首先對被測量數字調製信號進行接收和採樣,調整信號經解調後於基準矢量信號進行比較。被測矢量信號與基準矢量信號之間的差矢量信號被稱為誤差矢量信號,有誤差矢量信號中既包含幅度誤差信息,也包含相位誤差信息。在干擾小的時候MER變化緩慢,隨著干擾的增大,當出現誤碼率時,MER變化很快。
MER可以被認為是信噪比測量的一種形式,它將精確表明接收機對信號的解調能力,因為它不僅包括高斯噪聲,而且包括接收星座圖上所有其它不可校正的損傷。如果信號中出現的有效損傷僅僅是高斯噪聲,那么MER等於S/N。
示意圖MER的原理示意圖
MER的經驗門限值對於64QAM為23.5dB,對於256QAM為28.5dB,低於此值,星座圖將無法鎖定。另外對不同的部分MER的指標也存有一些經驗值:在前端>38dB,分前端>36dB,光節點>34dB,用戶>26dB。
MERobile卡
