單體單元
分子生物學領域中意義為:monomerie unit ( mer) :單體單元,相當於nt或者BP都可以。通常用於雙鏈核酸中的單位,100 mer DNA相當於每一條鏈有100nt,那么整條鏈就是100bp。
調製誤差比
調製誤差比:MER
TR101 290標準是用來描述DVB系統的測量準則。在標準中,調製誤差比(MER)指的是被接收信號的單個"品質因數"(figure of merit)。MER往往作為接收機對傳送信號能夠正確解碼的早期指示。事實上,MER是用來比較接收符號(用來代表調製過程中的一個數字值)的實際位置與其理想位置的差值。當信號逐漸變差時,被接收符號的實際位置離其理想位置愈來愈遠,這時測得的MER數值也會漸漸減小。一直到最後,該符號不能被正確解碼,誤碼率上升,這時就處於門限狀態即崩潰點。
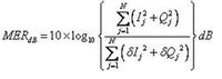
其中,I和Q是理想的QAM接收機相點陣圖中的數據點,δI和δQ是由損傷引起的接收的數據點和理想的QAM相點陣圖的點的誤差,N是在數據抽樣中捕獲的點數。上式中的N是數據抽樣的大小,他一般比相點陣圖中的點數多,為了能捕獲到具有代表性的抽樣。換句話說,它是測量由任何損傷合法設計與理想的相點陣圖點的位置相比的道德不理想導致的相點陣圖族的變化。
MER公式MER公式
在測量時,矢量分析儀首先對被測量數字調製信號進行接收和採樣,調整信號經解調後於基準矢量信號進行比較。被測矢量信號與基準矢量信號之間的差矢量信號被稱為誤差矢量信號,有誤差矢量信號中既包含幅度誤差信息,也包含相位誤差信息。在干擾小的時候MER變化緩慢,隨著干擾的增大,當出現誤碼率時,MER變化很快。
MER可以被認為是信噪比測量的一種形式,它將精確表明接收機對信號的解調能力,因為它不僅包括高斯噪聲,而且包括接收星座圖上所有其它不可校正的損傷。如果信號中出現的有效損傷僅僅是高斯噪聲,那么MER等於S/N。
示意圖示意圖
MER的原理示意圖
MER的經驗門限值對於64QAM為23.5dB,對於256QAM為28.5dB,低於此值,星座圖將無法鎖定。另外對不同的部分MER的指標也存有一些經驗值:在前端>38dB,分前端>36dB,光節點>34dB,用戶>26dB。
特點
擁有更加小巧的外形、大容量和雙重工作電壓,使MERobile成為行動電話和其它容量有限的攜帶型設備最完美的匹配。金士頓MERobile存儲解決方案可以為最新型的行動電話、PDA和其它消費電子設備提供充足的儲存空間並有效的節省電力耗損。MERobile存儲卡與RS-MMC具有相同的波形因數,附帶一個轉接卡使它可以同時當作原尺寸的MMC卡使用。更加小巧的外形、大容量和雙重工作電壓,使MERobile成為行動電話及其它擁有有限容量,並要求長效電源的攜帶型設備最完美的匹配。擁有256MB的儲存量,並可以支持更大的資料頻寬(x1,x4,x8bit),這款低能耗的MERobile移動式儲存卡可以讓您輕鬆地在行動電話網路與最先進的行動電話或高像素照相手機之間儲存、上傳、下載大容量多媒體資料。所有的MERobile存儲卡都擁有終身保固和金士頓傑出的可靠性保證。此外,所有金士頓MERobile皆可以向下兼容,與使用原型號標準MMC的主機設備配合使用。
相關信息
品名:MERobile卡
品牌:金士頓/Kingston容量:512MB
適用機型:
適用於新款的支持RS-MMC卡的手機,是Nokia,Siemens&部分Samsung的主要支持格式,比如:諾基亞NOKIA7610,6630,6670,6680,6682,6260,3230,N70,N90/OKWAPA363/SamsungP738,P730,V500,V4400,D710,A770/SiemensS65,S66,SXG75,M75,CX75(兼容所有MMC機型)等。
MER
MER:MAC Encapsulation Routing,家用路由器上的一種數據封裝格式。
MER:Mars Exploration Rover, 火星探測漫遊者,這是美國國家航空航天局在2003年實施的一項火星探測計畫。這項計畫的主要目的是將勇氣號(Spirit, MER-A)和機遇號(Opportunity, MER-B)兩輛火星車送往火星,對火星這顆紅色行星進行實地考察。

