來源
虛數單位“i”首先為瑞士數學家歐拉所創用,到德國數學家高斯提倡才普遍使用。高斯第一個引進術語“複數”並記作a+bi。“虛數”一詞首先由笛卡兒提出。早在1800年就有人用(a,b)點來表示a+bi,他們可能是柯蒂斯、棣莫佛、歐拉以及范德蒙。把a+bi用向量表示的最早的是挪威人卡斯巴·魏塞爾,並且由他第一個給出複數的向量運算法則。“i”這個符號來源於法文imkginaire——“虛”的第一個字母,不是來源於英文imaginarynumber(或imaginaryquautity)。複數集C來源於英文complexnumber(複數)一詞的第一個字母。
定義
引進一個新數 i,叫做虛數單位,並規定:
(1)它的平方等於-1,即 i²=-1.
(2)實數可以與它進行四則運算。進行四則運算時,原有的加法、乘法運算率仍然成立。
i[虛數單位]
i[虛數單位]虛數單位i定義為二次方程式 的兩個解中的一個解。這方程式又可等價表達為
i[虛數單位]所以虛數單位同樣可以表示為:
由於實數的平方絕不可能是負數,我們假設有這么一個數目解答,給它設定一個符號i。很重要的一點是,i是一個自定義的數學構造。
i[虛數單位]虛數單位有時記為。但是,使用這種記法時需要非常謹慎,這是因為有些在實數範圍內成立的公式在複數範圍內並不成立。
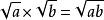
i[虛數單位]公式僅對於非負的實數和才成立。
i[虛數單位]
i[虛數單位]為了避免這種錯誤,儘量不要用平方根來表示虛數。例如我們不應使用,而應使用。
性質
基本性質
i[虛數單位]實數運算可以延伸至虛數與複數。當計算一個表達式時,我們只需要假設i是一個未知數,然後依照i的定義,替代任何 的出現為-1的更高整數冪數也可以替代為-i,1或i,
一般地,有以下的公式:
i[虛數單位]其中 mod 4表示被4除的餘數。
i與-i
i[虛數單位]方程 有兩個不同的解,它們都是有效的,且互為共軛複數。更加確切地,一旦固定了方程的一個解i,那么−i(不等於i)也是一個解,由於這個方程是唯一的定義,因此這個定義表面上有歧義。然而,只要把其中一個解選定,並固定為i,那么實際上是沒有歧義的。這是因為,雖然−i和i在數量上不是相等的(它們是一對共軛虛數),但是i和−i之間沒有質量上的區別(−1和+1就不是這樣的)。如果所有的數學書和出版物都把虛數或複數中的+i換成−i,而把−i換成−(−i) = +i,那么所有的事實和定理都依然是正確的。
i的運算
許多實數的運算都可以推廣到,例如平方根、冪、對數和三角函式。
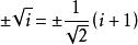
平方根
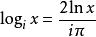
i[虛數單位]以i為底的對數
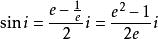
i[虛數單位]餘弦
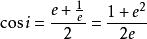
i[虛數單位]正弦
i[虛數單位]![i[虛數單位] i[虛數單位]](/img/9/ae6/nBnauM3X2EjM0czMwkDM2ATN0UTMyITNykTO0EDMwAjMwUzL5AzL3IzLt92YucmbvRWdo5Cd0FmLxE2LvoDc0RHa.jpg)
