內容
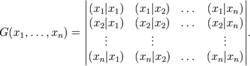
gram[矩陣]線上性代數中,內積空間中一族向量 格拉姆矩陣(Gramian matrix 或 Gram matrix, Gramian)是內積的對稱矩陣,其元素由 G i j= ( v i| v j)給出。
一個重要的套用是計算線性無關:一族向量線性無關若且唯若格拉姆行列式(格拉姆矩陣的行列式)不等於零。
格拉姆矩陣以丹麥數學家約爾根·佩爾森·格拉姆(Jørgen Pedersen Gram)命名。
例子
最常見地,向量是歐幾里得空間中元素,或 L空間中函式,比如緊區間[ a, b] 上的連續函式(是 L([ a, b])的子集)。
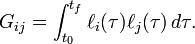
gram[矩陣]給定區間 [ t0, t f]上的實值函式,格拉姆矩陣 G= [ G i j],由函式的標準內積給出:
gram[矩陣]給定一個實矩陣 A,矩陣 A(T) A是 A的列向量的格拉姆矩陣,而矩陣 AA(T)是 A的行向量的格拉姆矩陣。
對一般任何域上的有限維向量空間上的雙線性形式 B,我們可對一組向量
gram[矩陣]定義一個格拉姆矩陣 G為。如果雙線性形式 B對稱則該格拉姆矩陣對稱。
性質
1.半正定
格拉姆矩陣是半正定的,反之每個半正定矩陣是某些向量的格拉姆矩陣。這組向量一般不是惟一的:任何正交基的格拉姆矩陣是恆同矩陣。
這個命題無窮維類比是 Mercer 定理(Mercer's theorem)。
2.基變換
在一個由可逆矩陣 P表示的基變換下,格拉姆矩陣是用 P做一個矩陣契約變為 P GP。
格拉姆
gram[矩陣]格拉姆行列式(Gram determinant 或 Gramian)是格拉姆矩陣的行列式:在幾何上,格拉姆行列式是這些向量形成的平行多面體的體積之平方。特別地,這些向量線性無關若且唯若格拉姆行列式不為零(若且唯若格拉姆矩陣非奇異)。
套用
如果向量是隨機變數,所得格拉姆矩陣是協方差矩陣。
在量子化學中,一組基向量的格拉姆矩陣是重疊矩陣(Overlap matrix)。
在控制論(或更一般的系統理論中),可控性格拉姆矩陣(controllability Gramian)與可觀測性格拉姆矩陣(observability Gramian)確定了線性系統的性質。
格拉姆矩陣出現在協方差結構模型中(比如可參見 Jamshidian & Bentler (1993))。
在有限元方法中,格拉姆矩陣出現在從有限維空間逼近函式時;格拉姆矩陣的元素是有限維子空間的基函式的內積。
