ACCRINTM函式
在 Microsoft Excel 中 ACCRINTM函式返回到期一次性付息有價證券的應計利息。
語法
ACCRINTM(issue, settlement, rate, par, [basis])
要點: 應使用 DATE 函式輸入日期,或者將函式作為其他公式或函式的結果輸入。例如,使用函式 DATE(2008,5,23) 輸入 2008 年 5 月 23 日。如果日期以文本形式輸入,則會出現問題。
語法參數
Issue 必需。證券的發行日。
Settlement 必需。證券的到期日。
Rate 必需。證券的年息票利率。
Par 必需。證券的票面值。如果省略此參數,則 ACCRINT 使用 ¥1,000。
Basis 可選。要使用的日計數基準類型。
| Basic | 日計數基準 |
| 0 或省略 | US (NASD) 30/360 |
| 1 | 實際天數/實際天數 |
| 2 | 實際天數/360 |
| 3 | 實際天數/365 |
| 4 | 歐洲 30/360 |
issue、settlement和 basis 將被截尾取整。
如果利率為 0 或票面價值為 0,函式 ACCRINTM 返回錯誤值 #NUM!。
如果 basis < 0 或 basis > 4,函式 ACCRINTM 返回錯誤值 #NUM!。
如果 issue ≥ settlement,函式 ACCRINTM 返回錯誤值 #NUM!。
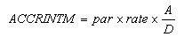
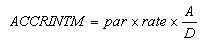
函式 ACCRINTM 的計算公式如下:
accrintm式中:
A = 按月計算的應計天數。在計算到期付息的利息時指發行日與到期日之間的天數。
D = 年基準數。

