基本原理
帳篷映射是指一個帶有參數u的實函式,定義為:
fu:=umin{x,1-x} (1)
函式圖像如圖1所示。
圖1 tent函式的圖像對於參數u在0~2之間取值。Fμ將區間[0,1]映射到該區間本身,由此來定義離散時間動態系統(與此等價,也是一種地推關係)。特別地,當選定一個位於[0,1]區間中的初值x0後,可以產生一個序列。
Tent映射和logistic映射是拓撲共軛的關係 ,因此在這種意義上,這兩種映射的取值是完全相同的。根據參數u的取值,tent映射得到一個動態取值的範圍,從可預測的值到混沌的值之間。
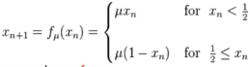
帳篷映射的遞推關係式為:
Tent映射其中xn取值範圍是[0,1],u=2~10e-6。
當u=2時,帳篷映射是元移動映射與r=4時的單峰映射的非線性變換。
帳篷映射額分歧圖如圖2所示。
圖2 帳篷映射的分歧圖