定義
TCR[電阻溫度係數]電阻溫度係數(temperature coefficient of resistance 簡稱TCR)表示電阻當溫度改變1度時,電阻值的相對變化,單位為ppm/℃(即10E(-6)/℃)。
定義式
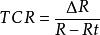
TCR=dR/(R.dT)
TCR[電阻溫度係數]實際套用時,通常採用平均電阻溫度係數,定義式:TCR(平均)=(R2-R1)/R1/(T2-T1)
有負溫度係數、正溫度係數及在某一特定溫度下電阻只會發生突變的臨界溫度係數。
紫銅的電阻溫度係數為1/234.5℃。
不同的材料有不同的電阻率,而不同的溫度也會使相同材料的電阻率發生改變。在材料科學上,通常用電阻的溫度係數來反映材料的電阻受溫度影響程度。
TCR[電阻溫度係數]電阻溫度係數(temperature coefficient of resistance 簡稱TCR)表示電阻當溫度改變1度時,電阻值的相對變化,單位為ppm/℃(即10E(-6)/℃)。
TCR=dR/(R.dT)
TCR[電阻溫度係數]實際套用時,通常採用平均電阻溫度係數,定義式:TCR(平均)=(R2-R1)/R1/(T2-T1)
有負溫度係數、正溫度係數及在某一特定溫度下電阻只會發生突變的臨界溫度係數。
紫銅的電阻溫度係數為1/234.5℃。
電阻溫度係數(temperature coefficient of resistance 簡稱TCR)表示電阻當溫度改變1度時,電阻值的相對變化,單位為...
簡介 電阻溫度係數 物理含義 測試結構 總結平均電阻溫度係數,是一個科技名詞。兩個規定溫度間電阻值的相對變化與產生此變化的溫度差之比,即為該溫度區間的平均電阻溫度係數。
定義 公式電阻(resistance)縮寫為R,它是導體的一種基本性質,與導體的尺寸、材料、溫度有關。歐姆定律指出電壓、電流和電阻三者之間的關係為I=U/R,亦即...
概述 作用 分類 電阻率 計算公式採樣電阻又稱為電流檢測電阻,電流感測電阻,取樣電阻,電流感應電阻。
概況 挑戰 PT 系列導體對電流的阻礙作用就叫該導體的電阻(resistance)。在物理學中,用電阻來表示導體對電流阻礙作用的大小。導體的電阻越大,表示導體對電流的阻礙作用...
功率 功率測量 電阻 電阻分類 電阻選用薄膜電阻器是用類蒸發的方法將一定電阻率材料蒸鍍於絕緣材料表面製成,一般這類電阻常用的絕緣材料是陶瓷基板。
電阻介紹 薄膜材料 區別 相關電阻器分流電阻是一種使用非常低的一個電流表電阻高精密電阻測量電路中的電流通過。它是與某一電路並聯導體的電阻。
分流電阻簡介 分流電阻的特性 分流電阻的選擇 分流電阻的參數1 1 1
] a resistor 電阻溫度係數 tcr= temperature...膜電阻或金屬膜電阻器在溫度恆定,且電壓和電流值限制在額定條件之內時,可用...。 功率放大電路、偏置電路、取樣電路:電路對穩定性要求比較高,應選溫度係數...
釋義 電阻 英語翻譯 分類 選用常識