簡介
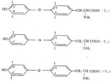
T3又名三碘甲狀腺原氨酸
T4又名四碘甲狀腺原氨酸
它們是一組含碘的酪氨酸,它是以碘和酪氨酸為原料在甲狀腺腺細胞內合成。
當甲狀腺受到TSH的作用,釋放甲狀腺激素時,腺上皮細胞先通過吞飲作用把濾泡腔內的甲狀球蛋白吞入腺細胞,在溶酶體蛋白水解酶的作用下,使甲狀球蛋白分解,解脫下來的T4和T3因能抗拒脫碘酶的作用,分子又小,可以透過毛細血管進入血液循環。甲狀球蛋白分子上的T4數量遠遠超過T3,所以分泌的激素中T4約占總量的90%,T3分泌量較少,但其活性大,是T4的5倍。T4每日分泌總量約96μg,T3約30μg。T4釋放入血後,一部分與血漿蛋白結合,另一部分則呈游離狀態在血中運輸,兩者之間可以互相轉變,維持T4、T3在血液中的動態平衡,因為只有游離型,才能進入細胞發揮作用。T3釋放入血後,因為與血漿蛋白的親和力小,主要以游離型存在。每天約有50%的T4脫碘轉變為T3,故T3的作用不容忽視。
標準
血清T3、T4測定是診斷甲狀腺疾病的常用檢查項目,包括測定血清總T3 (T T3)、總T4 (T T4)和游離T3 (F T3)、游離T4 (F T4),檢查甲狀腺時的試劑的不同,其參考值也不同,下面我們看看T3、T4的臨床意義:
1、若血清T T3、T T4、FT3、FT4增高,尤其T T3增高更為明顯,則為甲狀腺功能亢進症。少數患者只有血清T T3增高,血清T T4還在正常範圍。極少數患者血清T T4增高,而T T3增高不明顯。
2、若血清T T3、T T4、 FT3、FT4降低,尤其T T4降低更為明顯,則為甲狀腺功能減退症。少數甲減患者,血清T T4降低,而血清T T3可在正常範圍。
3、以下幾種情況必須測定血清F T3、F T4才能反映患者的甲狀腺功能狀態,而測定血清TT3、TT4不能說明其功能狀態。
(1)妊娠;(2)服避孕藥;(3)先天性甲狀腺激素載體蛋白濃度異常;(4)用腎上腺皮質激素治療;(5)慢性肝、腎疾病等。
作用
1)促進生長發育
2)對代謝的影響
3)其它方面,如甲狀腺激素對於一些器官的活動也有重要的作用。它對維持神經系統的興奮性有重要的意義。甲狀腺激素可直接作用於心肌,促進肌質網釋放Ca2+,使心肌收縮力增強,心率加快。
T3T4也是鑑別有無甲狀腺功能疾病的重要依據
T3[激素]T3T4結構見右圖
![T3[激素] T3[激素]](/img/e/ee1/nBnauM3XzYzNzQDM5UDNyMzM1UTM1QDN5MjM5ADMwAjMwUzL1QzLzQzLt92YucmbvRWdo5Cd0FmLzE2LvoDc0RHa.jpg)
