反應通式
Stobbe縮合是指在鹼性條件下丁二酸二乙酯與酮的縮合反應。
反應通式反應機理
首先生成的加成產物直接環化得γ-內酯,後者經進一步的鹼催化開環反應轉化為羧酸負離子。羧酸負離子的形成使平衡向右移動,由此構成了Stobbe反應成功的推動力。
反應原理反應實例
反應實例1
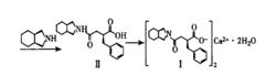
反應實例2抗糖尿病新藥米格列奈鈣的合成
以苯甲醛和丁二酸二乙酯為原料,經stobbe縮合、水解反應、催化加氫反應得苄基丁二酸,使用(R)-1-苯基乙胺拆分得S型產物,經製成其酸酐後與順式全氫化異吲哚反應得米格列奈酸,再成鈣鹽製得米格列奈鈣,反應總收率為30.9%。
此方法以丁二酸二乙酯和苯甲醛為原料,在乙醇鈉溶液中發生stobbe縮合,再水解得亞苄基丁二酸(Ⅲ),Ⅲ經催化氫化得到混旋2-苄基丁二酸(Ⅳ),Ⅳ經(R)-1-苯基乙胺拆分,得(S)-2-苄基丁二酸(V),V在乙酸酐作用下生成其酸酐,所得酸酐和順式全氫化異吲哚反應製得米格列奈酸,最後米格列奈酸與氯化鈣和氨水反應生成米格列奈鈣二水合物。其中所用順式全氫化異吲哚系用較便宜的起始原料順式環己二甲酸酐採用全新的方法自行合成。
合成路線1
合成路線2(1)本合成路線中,以順式環己二甲酸酐為原料合成米格列奈的一個關鍵中間體順式全氫化異吲哚。原料便宜易得,合成路線簡單。兩步反應總收率為54.4%,且避免了使用加壓還原,和使用硼烷等危險的試劑。該合成方法安全簡單,適合工業化生產。
(2)本合成工藝採用的起始原料經濟且易於獲得,經7步反應得到了米格列奈鈣,總收率為30.9%。

