反應機理
雙分子反應
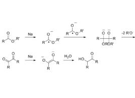
雙分子縮合就是兩個羧酸衍生物分子之間發生的還原和偶聯。
雙分子縮合的反應機理如下圖所示:
圖1 雙分子反應機理 分子內反應
分子內縮合就是二酸酯在同樣條件下形成α-羥基環酮。6-7元環產率50-60%,8-9元環產率30-40%,10-20元環產率60-98%。
圖2 分子內縮合機理 實例
在合成碗烯的過程中,有一步如下圖所示:
合成碗烯 在鈉的作用下,在乙醚中,-COOMe與其中一個-COOEt被還原並偶聯,生成一個6元環。偶姻縮合反應還可以用來合成索烴(catenane),如下圖所示:
索烴合成 先利用偶姻縮合反應形成第一個環狀醇酮,然後把該環還原成烴。把該環烴置於二甲苯中,使二酸酯穿過環,發生偶姻縮合反應,形成第二個環,並且兩環聯結在一起。

