SIR模型是傳染病模型中最經典的模型,其中S表示易感者,I表示感染者,R表示移出者。
模型中把傳染病流行範圍內的人群分成三類:S類,易感者(Susceptible),指未得病者,但缺乏免疫能力,與感病者接觸後容易受到感染;I類,感病者(Infective),指染上傳染病的人,它可以傳播給S類成員;R類,移出者(Removal),指被隔離,或因病癒而具有免疫力的人。
傳染病模型有著悠久的歷史,一般認為始於1760年Daniel Bernoulli在他的一篇論文中對接種預防天花的研究.真正的確定性傳染病數學模型研究的前進步伐早在20世紀初就開始了,Hamer, Ross等人在建立傳染病數學模型的研究中做出了大量的工作.直到1927年Kermack與McKendrick在研究流行於倫敦的黑死病時提出了的SIR倉室模型,並於1932年繼而建立了SIS模型,在對這些模型的研究基礎上提出了傳染病動力學中的閾值理論.Kermack與McKendrick的SIR模型是傳染病模型中最經典、最基本的模型,為傳染病動力學的研究做出了奠基性的貢獻.
傳染病SIR模型
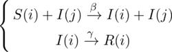
傳染病SIR模型假設在單位時間內染病個體(記作I)以平均機率β和隨機選取的所有狀態的個體進行接觸,其中易感個體(記作S)會轉化為染病個體;染病個體並以平均機率γ恢復並獲得免疫能力,免疫後記作R。其感染機制如式1所述:
SIR模型
SIR模型
SIR模型
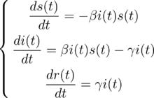
SIR模型假設t時刻系統中處於易感狀態、感染狀態和移除狀態的個體比重分別為s(t),i(t)和r(t)。當易感個體和感染個體充分混合時,感染個體的增長率為,易感個體的下降率為,恢復個體的增長率為,則SIR模型的動力學行為可以描述為式2。
SIR模型套用於信息傳播領域
套用於信息傳播的研究,SIR模型可以描述如下 :最初,所有的節點都處於易感染狀態,對應個體不知道信息的情況。然後部分節點接觸到此信息,變為感染狀態。這些節點試著感染處於易感染態的節點,或者進入恢復狀態。感染一個節點,即傳遞信息或者影響節點對某事的態度。恢復狀態,即免疫,處於恢復狀態的節點不再參與信息的傳播。
