非線性偏微分方程
Rosenau–Hyman equation又稱K(n,n)方程是一個非線性偏微分方程
Rosenau–Hyman equation解析解
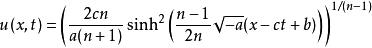
當 a>0
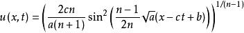
Rosenau–Hyman equation當 a<0
Rosenau–Hyman equation
Rosenau–Hyman 方程
Rosenau–Hyman equationRosenau–Hyman equation又稱K(n,n)方程是一個非線性偏微分方程
Rosenau–Hyman equation當 a>0
Rosenau–Hyman equation當 a<0
Rosenau–Hyman equation
Rosenau–Hyman 方程
Rosenau–Hyman equation