名稱
參宿七距離地球約為770光年,其光譜類型屬於B8,推斷它為一顆超巨星,光度為太陽的50,000倍。
簡介
位於獵戶座的右下角,目視星等約在0.08~0.20之間變化,絕對星等-7.1等。表面溫度1.2萬開,半徑為太陽的77倍,光度為太陽的11萬倍,距離850光年.還有一顆視星等6.8等的伴星光譜型B8Ⅰa光學和紫外觀測表明,參宿七不僅連續地吹出很強的星風,還以間斷的方式拋出物質,形成一個膨脹的氣殼。它最亮時成為獵戶座的第一亮星,光度變化規律有待研究。
雖然名為β星,但比α星參宿四還要亮,(Google Earth中參宿七為獵戶座α星,而參宿四為β星)視星等0.18,是夜空中第七亮的恆星。
RigelRigel軟體
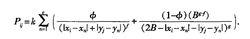
罪犯藏身地的熱區分布Rigel軟體是由加拿大警探、數學家金·羅斯莫(Kim Rossmo)編寫的一款基於“地理分析技術”的罪犯追蹤軟體,通過對案發現場的分布分析出罪犯(尤其是連環案件的罪犯)住所等藏身的“熱區”。
Rigel軟體的數學基礎——羅斯莫公式如今,羅斯莫把Rigel軟體銷售給全世界的警察以及其他偵查機構,幫助他們找尋罪犯。

