基本資料
PERT網路是一種類似流程圖的箭線圖。它描繪出項目包含的各種活動的先後次序,標明每項活動的時間或相關的成本。對於PERT網路,項目管理者必須考慮要做哪些工作,確定時間之間的依賴關係,辨認出潛在的可能出問題的環節,藉助PERT還可以方便地比較不同行動方案在進度和成本方面的效果。
構造PERT圖,需要明確三個概念:事件、活動和關鍵路線。
1、事件(Events)表示主要活動結束的那一點;
2、活動(Activities)表示從一個事件到另一個事件之間的過程;
3、關鍵路線(Critical Path)是PERT網路中花費時間最長的事件和活動的序列。
計算特點
PERT首先是建立在網路計畫基礎之上的,其次是工程項目中各個工序的工作時間不肯定,過去通常對這種計畫只是估計一個時間,到底完成任務的把握有多大,決策者心中無數,工作處於一種被動狀態。在工程實踐中,由於人們對事物的認識受到客觀條件的制約,通常在PERT中引入機率計算方法,由於組成網路計畫的各項工作可變因素多,不具備一定的時間消耗統計資料,因而不能確定出一個肯定的單一的時間值。
在PERT中,假設各項工作的持續時間服從β分布,近似地用三時估計法估算出三個時間值,即最短、最長和最可能持續時間,再加權平均算出一個期望值作為工作的持續時間。在編制PERT網路計畫時,把風險因素引入到PERT中,人們不得不考慮按PERT網路計畫在指定的工期下,完成工程任務的可能性有多大,即計畫的成功機率,即計畫的可靠度,這就必須對工程計畫進行風險估計。
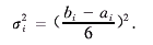
在繪製網路圖時必須將非肯定型轉化為肯定型,把三時估計變為單一時間估計,其計算公式為:
式中:
ti為i工作的平均持續時間;
ai為i工作最短持續時間(亦稱樂觀估計時間);
bi為i工作最長持續時間(亦稱悲觀估計時間);
ci為i工作正常持續時間,可由施工定額估算。
其中,ai和bi兩種工作的持續時間一般由統計方法進行估算。
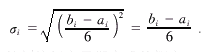
三時估算法把非肯定型問題轉化為肯定型問題來計算,用機率論的觀點分析,其偏差仍不可避免,但趨向總是有明顯的參考價值,當然,這並不排斥每個估計都儘可能做到可能精確的程度。為了進行時間的偏差分析(即分布的離散程度),可用方差估算:

式中:σ2i為i工作的方差。

網路計畫按規定日期完成的機率,可通過下面的公式和查函式表求得。

式中:
Q為網路計畫規定的完工日期或目標時間;
M為關鍵線路上各項工作平均持續時間的總和;
σ為關鍵線路的標準差;
λ為機率係數。
[編輯]PERT網路分析法的工作步驟
開發一個PERT網路要求管理者確定完成項目所需的所有關鍵活動,按照活動之間的依賴關係排列它們之間的先後次序,以及估計完成每項活動的時間。這些工作可以歸納為5個步驟。
1、確定完成項目必須進行的每一項有意義的活動,完成每項活動都產生事件或結果;
2、確定活動完成的先後次序;
3、繪製活動流程從起點到終點的圖形,明確表示出每項活動及其它活動的關係,用圓圈表示事件,用箭線表示活動,結果得到一幅箭線流程圖,人們稱之為PERT網路;

4、估計和計算每項活動的完成時間;
5、藉助包含活動時間估計的網路圖,管理者能夠制定出包括每項活動開始和結束日期的全部項目的日程計畫。在關鍵路線上沒有鬆弛時間,沿關鍵路線的任何延遲都直接延遲整個項目的完成期限。
案例分析
下面舉一個例子來說明。假定你要負責一座辦公樓的施工過程,你必須決定建這座辦公樓需要多長時間。下表概括了主要事件和你對完成每項活動所需時間的估計。
建築辦公樓的PERT網路

完成這棟辦公樓將需要50周的時間,這個時間是通過追蹤網路的關鍵路線計算出來的。該網路的關鍵路線為:A-B-C-D-G-H-J-K,沿此路線的任何事件完成時間的延遲,都將延遲整個項目的完成時間。
技術作用
1、標識出項目的關鍵路徑,以明確項目活動的重點,便於最佳化對項目活動的資源分配;
2、當管理者想計畫縮短項目完成時間,節省成本時,就要把考慮的重點放在關鍵路徑上;
3、在資源分配發生矛盾時,可適當調動非關鍵路徑上活動的資源去支持關鍵路徑上的活動,以最有效地保證項目的完成進度;
4、採用PERT網路分析法所獲結果的質量很大程度上取決於事先對活動事件的預測,若能對各項活動的先後次序和完成時間都能有較為準確的預測,則通過PERT網路的分析法可大大縮短項目完成的時間。
方法選擇
CPM(關鍵路徑法)和PERT是50年代後期幾乎同時出現的兩種計畫方法。隨著科學技術和生產的迅速發展,出現了許多龐大而複雜的科研和工程項日,它們工序繁多,協作面廣,常常需要動用大量人力、物力、財力。因此,如何合理而有效地把它們組織起來,使之相互協調,在有限資源下,以最短的時間和最低費用,最好地完成整個項目就成為一個突出的重要問題。CPM和PERT就是在這種背景下出現的。這兩種計畫方法是分別獨立發展起來的,但其基本原理是一致的,即用網路圖來表達項目中各項活動的進度和它們之間的相互關係,並在此基礎上,進行網路分析,計算網路中各項時間多數,確定關鍵活動與關鍵路線,利用時差不斷地調整與最佳化網路,以求得最短周期。然後,還可將成本與資源問題考慮進去,以求得綜合最佳化的項目計畫方案。因這兩種方法都是通過網路圖和相應的計算來反映整個項目的全貌,所以又叫做網路計畫技術。
此外,後來還陸續提出了一些新的網路技術,如GERT(Graphical Evaluation and Review Technique,圖示評審技術),VERT(Venture Evaluation and Review Technique,風險評審技術)等。應該採用哪一種進度計畫方法,主要應考慮下列因素:
①項目的規模大小。很顯然,小項目應採用簡單的進度計畫方法,大項目為了保證按期按質達到項目目標,就需考慮用較複雜的進度計畫方法。
②項目的複雜程度。這裡應該注意到,項目的規模並不一定總是與項目的複雜程度成正比。例如修一條公路,規模雖然不小,但並不太複雜,可以用較簡單的進度計 劃方法。而研製一個小型的電子儀器,要很複雜的步驟和很多專業知識,可能就需要較複雜的進度計畫方法。
③項目的緊急性。在項目急需進行,特別是在開始階段,需要對各項工作發布指示,以便儘早開始工作,此時,如果用很長時間去編制進度計畫,就會延誤時間。
④對項目細節掌握的程度。如果在開始階段項目的細節無法解明,CPM和PERT法就無法套用。
⑤總進度是否由一、兩項關鍵事項所決定。如果項目進行過程中有一、兩項活動需要花費很長時間,而這期間可把其他準備工作都安排好,那么對其他工作就不必編 制詳細複雜的進度計畫了。
⑥有無相應的技術力量和設備。例如,沒有計算機,CPM和PERT進度計畫方法有時就難以套用。而如果沒有受過良好訓練的合格的技術人員,也無法勝任用複雜的方法編制進度計畫。
此外,根據情況不同,還需考慮客戶的要求,能夠用在進度計畫上的預算等因素。到底採用哪一種方法來編制進度計畫,要全面考慮以上各個因素。
