基本介紹
L-M方法Gauss-Newton算法(1809)是一個古老的處理非線性最小二乘問題的方法,該方法在疊代過程中要求矩陣 列滿秩;而這一條件限制了它的套用。為克服這個困難,Levenberg(1944)提出了一個新的方法,但未受到重視。後來,Marquardt(1963) 又重新提出,並在理論上進行了探討,得到了Levenberg-Marquardt方法,簡稱L-M方法。再後來,Fletcher(1971) 對其實現策略進行了改進,得到了Levenberg- Marquardt-Fletcher方法。實際上,若將L-M方法與信賴域方法結合,效果可能更好 。
L-M方法通過求解下述最佳化模型來獲取搜尋方向:
L-M方法
L-M方法其中,μ> 0,由最優性條件知滿足
L-M方法即
L-M方法實際上,利用約束最佳化問題的最優性條件,L-M方法可以看作是Gause-Newton方法受信賴域方法的啟發產生的,因為d可視為下述約束最佳化問題的最優解
L-M方法
L-M方法這裡,。
L-M方法
L-M方法下面討論d的下降性質,若,則對任意,
L-M方法
L-M方法所以d是f(x) 在點的下降方向。引入線搜尋,我們便得到非線性最小二乘問題的L-M方法:
L-M方法
L-M方法
L-M方法
L-M方法由於d的取值與有關,所以從嚴格意義上講,應記為。
L-M方法與Gauss-Newton方法的區別在於前者的搜尋方向裡面引入了參數μ
相關結論
L-M方法
L-M方法根據線性代數的知識,矩陣對向量的作用無非是改變後者的長度和方向,為此,對de(1k),我們有下述結論。
L-M方法
L-M方法性質1關於μ> 0單調不增,且當μ→∞時,→0。
(文中性質的證明請見參考書)
L-M方法
L-M方法從幾何直觀來看,當矩陣接近奇異時,由Gauss-Newton算法得到的搜尋方向的模相當地大,而在L-M方法中,通過引入正參數μ就避免了這種情形出現。
下面看參數μ對搜尋方向角度的影響,
L-M方法
L-M方法性質2與的夾角θ關於μ> 0單調不增。
L-M方法
L-M方法
L-M方法
L-M方法根據性質1和2,當μ=0時,就是Gauss-Newton方向。當μ> 0逐漸增大時,的長度逐漸縮短,方向則逐漸偏向最速下降方向,可以構想,當參數μ充分大時,的方向與目標函式的負梯度方向一致,不但如此,下面的結果表明,我們引入參數μ可以使得搜尋方向的求解更加趨於穩定,從而我們有理由相信L-M方法的數值效果應該比Gauss-Newon方法好一些。
L-M方法性質3的條件數關於μ單調不增。
基於以上討論,在具體的算法中,我們採用類似於調整信賴域半徑的策略來調整參數μ,這就得到Levenberg-Marquardt-Fletcher方法 。
套用範圍
Levenberg-Marquardt算法是最最佳化算法中的一種。最最佳化是尋找使得函式值最小的參數向量。它的套用領域非常廣泛,如:經濟學、管理最佳化、網路分析 、最優設計、機械或電子設計等等。
根據求導數的方法,可分為2大類。第一類,若f具有解析函式形式,知道x後求導數速度快。第二類,使用數值差分來求導數。根據使用模型不同,分為非約束最最佳化、約束最最佳化、最小二乘最最佳化。
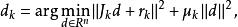
Levenberg-Marquardt算法是使用最廣泛的非線性最小二乘算法,中文為列文伯格-馬夸爾特法。它是利用梯度求最大(小)值的算法,形象的說,屬於“爬山”法的一種。它同時具有梯度法和牛頓法的優點。當λ很小時,步長等於牛頓法步長,當λ很大時,步長約等於梯度下降法的步長。圖1顯示了算法從起點,根據函式梯度信息,不斷爬升直到最高點(最大值)的疊代過程。共進行了12步。(備註:圖1中綠色線條為疊代過程)。
圖1LM算法的實現並不算難,它的關鍵是用模型函式 f 對待估參數向量p在其領域內做線性近似,忽略掉二階以上的導數項,從而轉化為線性最小二乘問題,它具有收斂速度快等優點。LM算法屬於一種“信賴域法”,所謂的信賴域法,即是:在最最佳化算法中,都是要求一個函式的極小值,每一步疊代中,都要求目標函式值是下降的,而信賴域法,顧名思義,就是從初始點開始,先假設一個可以信賴的最大位移s,然後再以當前點為中心,以s為半徑的區域內,通過尋找目標函式的一個近似函式(二次的)的最優點,來求解得到真正的位移。在得到了位移之後,再計算目標函式值,如果其使目標函式值的下降滿足了一定條件,那么就說明這個位移是可靠的,則繼續按此規則疊代計算下去;如果其不能使目標函式值的下降滿足一定的條件,則應減小信賴域的範圍,再重新求解。
LM算法需要對每一個待估參數求偏導,所以,如果你的擬合函式 f 非常複雜,或者待估參數相當地多,那么可能不適合使用LM算法,而可以選擇Powell算法(Powell算法不需要求導)。

