定律定義
Klein-Nishina公式是用以計算電磁場對靜止電子的康普頓散射微分散射截面與初、末態光子能量的公式。
其用於計算圖1過程的微分散射截面 :
圖1
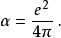
公式的表達式為:
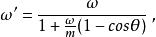
Klein-Nishina公式 其中:
Klein-Nishina公式
Klein-Nishina公式 推導過程
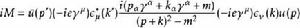
具體計算康普頓散射的樹圖結果可以得到Klein-Nishina公式,具體來說就是要計算圖2中的兩個圖 :
圖2 其費曼散射振幅可以表達為:
Klein-Nishina公式
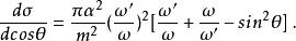
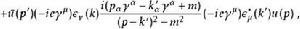
Klein-Nishina公式 對費曼振幅平方後極化求和、求平均後可得:
Klein-Nishina公式 代入圖1中定義的四動量,再利用:
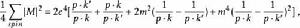
Klein-Nishina公式 其中A、B為初態粒子,f為末態粒子,對相空間積分就可得到:
Klein-Nishina公式 發展簡史
Klein-Nishina公式是對自旋求平均得到的結果,該結果1929年最早由O.Klein和Y.Nishina得到 。
套用領域
在電子與高能光子發生康普頓散射的實驗領域,Klein-Nishina公式具有良好的預言性。
定律影響
康普頓散射實驗可以很好的驗證光的波粒二象性,此外Klein-Nishina公式的成功也客觀得驗證了量子場論這套方法的可行性,此外也給QED(量子電動力學)以很好的實驗佐證 。
