FNPV(FinancialNetPresentValue)
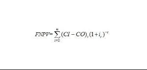
財務淨現值是指把項目計算期內各年的財務淨現金流量,按照一個給定的標準折現率(基準收益率)折算到建設期初(項目計算期第一年年初)的現值之和。財務淨現值是考察項目在其計算期內盈利能力的主要動態評價指標。其表達式為:
fnpv式中
----財務淨現值;
(
)t——第t年的淨現金流量;
n——項目計算期;
ic——標準折現率。
判別標準
財務淨現值是評價項目盈利能力的絕對指標。當FNPV>0時,說明該方案除了滿足基準收益率要求的盈利之外,還能得到超額收益,換句話說方案現金流入的現值和大於現金流出的現值和,該方案有收益,故該方案在財務上是可行的;當FNPV=0時,說明該方案基本能滿足基準收益率要求的盈利水平,即現金流入的現值和等於現金流出的現值和該方案還是可行的。當FNPV<0時,說明該方案不能滿足基準收益率要求的盈利水平,及該方案收益的現值 不能抵償支出的現值,該方案財務上不可行。
優劣
財務淨現值指標的優點:考慮了資金的時間價值,並全面考慮了項目在整個計算期內的現金流量的時間分布狀況;經濟意義明確直觀,能夠直接以貨幣額表示項目的盈利水平,判斷直觀。不足之處:必須首先確定一個符合經濟現實的基準收益率,而基準收益率的確定往往是比較困難的;在互斥方案評價時,財務淨現值必須慎重考慮互斥方案的壽命,必須構造一個相同的分析期限,才能進行各個方案的比選;財務淨現值也不能真正反映項目投資中單位投資的使用效率;不能直接說明在項目運營期間各年的經營成果;沒有給出該投資過程確切的收益大小,不能反映投資的回收速度。
fnpv
