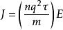
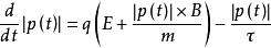
Drude模型的運動方程
Drude模型的兩個最重要的結果是電子運動方程:
Drude模型以及電流密度J和電場E之間的線性關係,
Drude模型
Drude模型
Drude模型
Drude模型這裡 是時間, 是每個電子的平均動量, 分別是電子電荷,數密度,質量和離子碰撞之間的平均自由時間(也就是平均時間和 自上次碰撞後電子已經行進)。 後面的表達式特別重要,因為它用半定量的術語解釋了為什麼歐姆定律是所有電磁學中最普遍的關係之一,應該是真的。
該模型在1905年由Hendrik Antoon Lorentz(因此也被稱為Drude-Lorentz模型)進行了擴展,並且是一個經典模型。 後來在1933年由Arnold Sommerfeld和Hans Bethe補充了量子理論的結果,導致了Drude-Sommerfeld模型。
介紹
Drude模型認為金屬是由大量帶正電的離子形成的,大量的“自由電子”從這些離子中分離出來。 當原子的價位與其他原子的勢能相接觸時,這些可能被認為是離域的。
Drude模型忽略了電子和離子之間或電子之間的任何長程相互作用。 自由電子與其環境唯一可能的相互作用是通過瞬間碰撞。 這種電子後續碰撞之間的平均時間為τ,而電子碰撞夥伴的性質對Drude模型的計算和結論無關緊要。
碰撞事件發生後,電子的速度(和方向)僅取決於局部溫度分布,並且與碰撞事件之前的電子速度完全無關。
Drude在實際材料中的回應
Drude模型
Drude模型
Drude模型
Drude模型
Drude模型Drude金屬在時間或頻率範圍內的特徵行為,即具有時間常數的指數弛豫或上述的頻率依賴性被稱為Drude回響。 在常規的簡單真實金屬(例如室溫下的鈉,銀或金)中,這種行為不是通過實驗發現的,因為特徵頻率處於紅外頻率範圍,其中未考慮其他特徵 Drude模型(如帶結構)扮演著重要角色。但對於某些具有金屬特性的其他材料,發現頻率依賴性電導率與的簡單Drude預測緊密相關。 這些是鬆弛率處於低得多的頻率的材料。某些摻雜半導體單晶,高遷移率二維電子氣和重費密子金屬就是這種情況 。
模型的準確性
歷史上,德魯德公式首先以不正確的方式推導出來,即通過假設電荷載體形成經典理想氣體。 Arnold Sommerfeld考慮了量子理論並將理論擴展到自由電子模型,其中載流子遵循費米 - 狄拉克分布。令人驚訝的是,預測的電導率結果與德魯德模型相同,因為它不依賴於電子速度分布的形式。
Drude模型很好地解釋了金屬中的直流和交流電導率,霍爾效應以及室溫附近金屬的磁電阻。該模型也部分解釋了1853年的Wiedemann-Franz定律。然而,它極大地高估了金屬的電子熱容量。實際上,金屬和絕緣體在室溫下具有大致相同的熱容量。正如霍爾效應所證明的那樣,該模型也可套用於正(孔)電荷載體。
圍繞這一理論的一個小瑣事是,在他的原始論文中,德魯德提出了一個概念性錯誤,估計維德曼-弗蘭茲定律的勞倫茲數實際上是其經典本應該是的兩倍,從而使其看起來與實驗一致測量。另一個驚喜是,比熱的實驗值比經典預測值小約100倍,但是這個因子可以抵消平均電子速度,實際上它比德魯德的計算值大100倍。
