簡介
D-H矩陣全稱Denavit-Hartenberg Matrix。
Denavit 和Hartenberg在1955年提出一種通用的方法,這種方法在機器人的每個連桿上都固定一個坐標系,然後用4×4的齊次變換矩陣來描述相鄰兩連桿的空間關係。通過依次變換可最終推導出末端執行器相對於基坐標系的位姿,從而建立機器人的運動學方程。
規則和構成
矩陣構成
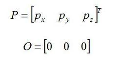
D-H矩陣由4大部分構成,R-旋轉矩陣,P-位置矩陣,O-透視矩陣,I-比例變換。
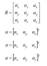
位置矩陣其中,n矩陣為相對坐標系x軸對於參考坐標系的方向餘弦。o矩陣為相對坐標系y軸對於參考坐標系的方向餘弦。a矩陣為相對坐標系z軸對於參考坐標系的方向餘弦。P為相對坐標系對於參考坐標系的位置向量。O為全為0的矩陣,I在一般情況下為[1],在相對坐標系對參考坐標系除了旋轉之外還有長度變化的時候I值不為1,其值為變化後的長度與變化前的基準長度的比值。
旋轉矩陣構成
D-H矩陣總構成變換規則
R矩陣有且只有三種變換:繞x軸旋轉,繞y軸旋轉和繞z軸旋轉。下式中,A表示參考坐標系,B表示相對坐標系。其中,x、y、z分別表示為繞著旋轉的坐標軸,θ表示為每次旋轉的角度。
D-H矩陣
D-H矩陣
D-H矩陣運算
D-H矩陣旋轉運算時如下式進行,需要同時進行比例縮放時將比例因子I調整即可。
用途
D-H矩陣可用於機器人正運動學解算,3D模型運算。
