成立條件
任何一個模型都是基於一定的市場假設的,Black-Scholes模型的基本假設有以下幾點:
(1)無風險利率r是已知的,為一個常數,不隨時間的變化而改變
(2)標的證券為股票,正股價格S的變化符合隨機漫步,但這種隨機漫步能夠使股票的回報率成常態分配。
(3)標的股票不分紅
(4)期權為歐式期權,即到期日才能行權
(5)整個交易過程中,不存在交易費用,沒有印花稅
(6)對賣空沒有如保證金等任何限制,投資者可自由使用賣空所得資金
在我國,當標的證券分紅除息時,權證的行權價格也做相應的除息調整,因此不需要標的證券不分紅的假設。
計算方法
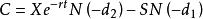
根據假設和數學推斷,歐式認購期權價格的計算公式為:
B-S模型其中,C表示認購權證理論價格,X表示行權價格,S表示正股價格,t表示權證的剩餘期限,r表示無風險利率,N()表示常態分配變數的累積機率分布函式。
對於該公式,我們可以從兩個角度進行理解。
B-S模型
B-S模型
B-S模型
B-S模型
B-S模型第一個角度根據定價原理,該模型可以看作兩部分,和,正好理解為一個投資組合的兩個組成部分,即份正股和元的無息貸款的組合。也就是說,在權證未到期前的任何時刻,一份認購權證的價值與N(d1)份正股和元的無息貸款的組合價值相同。
B-S模型
B-S模型第二個角度是從權證的到期收益來理解模型,權證的價值由其到期日能夠給持有者帶來的收益決定。但是到期時正股價格不確定,因此權證的收益也難以確定。假設到期時正股價格為S,則到期時認購權證的價格為S-X。那么在到期前的任一時刻t,要想知道認購權證的價格,我們就需要推算認購權證到期時正股價為S的機率,同時將行權價格按一定的貼現率折算為時刻t的現值。因此,認購權證的定價模型可以理解為在任一時刻t,認購權證到期時正股價格為S的機率為N(d1),為行權價格在時刻t的現值,N(d2)為機率。因此,在任一時刻t,認購權證給投資者帶來的收益即為。
B-S模型在得出了歐式認購權證的價格之後,很容易得出歐式認沽權證價格的計算公示,即 同樣,我們也可以從兩個不同的角度來直觀理解認沽權證的B-S定價公式。
B-S模型
B-S模型
B-S模型
B-S模型第一個角度是把認沽權證看作是元無息存款與賣出份正股的組合。也就是說,在任一時刻,一份認沽權證的價值與賣出份正股並同時存入元的無息存款的價值相同。
B-S模型
B-S模型
B-S模型從另一個角度看,假設到期時正股價格為S元,則到期時認沽權證的價格為X-S元。認沽權證的B-S定價模型可以理解為在任一時刻t,認沽權證到期時正股價格為S的機率為,為行權價格在時刻t的現值,因此,在任一時刻t,認沽權證能夠給投資者帶來的收益即為。

