97240-79-4
中文名稱:托吡酯
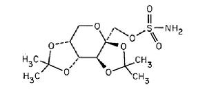
英文名稱:topiramate
CAS:97240-79-4
別名:妥泰;2,3:4,5-雙-o-(1-甲基亞乙基)-β-d-吡喃果糖氨基磺酸酯;2,3:4,5-bis-O-(1-methylethylidene)-beta-D-fructopyranose sulfamate;Topamax
分子式:C12 H21 NO8S
分子量:339.36
結構式:
西安盛方精細化工有限公司www.chemicalsgo.com托吡酯 topiramate 97240-79-4 陳先生 13679253776托吡酯原料相關信息:
托吡酯的化學名稱為2,3:4,5-雙-0-(1-甲基亞乙基)-β-D吡喃果糖氨基磺酸酯。托吡酯為白色晶體粉末,有苦味,極易溶於氫氧化鈉或磷酸鈉等pH值為9-10的鹼性溶液中,易溶於丙酮,氯仿,二甲亞碸和乙醇。在水中的溶解度為9.8 mg/mL,其飽和溶液的pH值為6.3。托吡酯(Topiramate)是一種新型抗癲癇藥物,結構為自然態單糖右鏇果糖的硫代產物,呈線性藥物動力學特徵,口服有效,吸收迅速,生物利用度高,作用時間長,對多重類型癲癇具有良好的臨床治療效果,耐受性與安全性均好,屬強效、廣譜性的抗癲癇藥物;托吡酯對成人和兒童的偏頭痛也具有良好的預防治療效果和使用安全性,已用於偏頭痛的預防治療;最新研究還發現,低劑量托吡酯的減肥效果非常顯著,副反應發生率低,耐受性良好,具有很好的套用前景。隨著托吡酯藥物市場的發展和擴大,托吡酯原料藥的需求在不斷增長,其市場前景非常美好,市場發展潛力巨大。 國內真正大生產廠家目前不超過5家.
原料藥生產廠家推薦:西安盛方精細化工有限公司 執行標準:USP32
托吡酯製劑相關信息:
【製劑規格】托吡酯為白色晶體粉末,有苦味,極易溶於氫氧化鈉或磷酸鈉等pH值為9-10的鹼性溶液中,易溶於丙酮,氯仿,二甲亞碸和乙醇。在水中的溶解度為9.8 mg/mL,其飽和溶液的pH值為6.3。本藥為帶有壓紋的圓形包衣片,有下述不同的規格和顏色:25 mg:白色,一面刻有"TOP",另一面刻有"25"。50 mg:淡黃色,一面刻有"TOP",另一面刻有"50"。100 mg:黃色,一面刻有"TOP",另一面刻有“100”。【主治】為廣譜抗癲癇新藥,對各類癲癇發作均有效,其中原發性利繼發性全身強直一陣攣發作及單純或複雜部分發作效果尤其明顯。對肌陣攣、嬰兒痙攣也有效。
【藥理毒理】托吡酮是一個由氨基磺酸酯取代單糖的新型抗癲癇藥物。在培養的神經元中進行的電生理和生化研究得出與其抗癲癇作用有關的托吡酯的三個特性。由神經元持續去極化所反覆激發的動作電位被托吡酯以時間依賴模式阻斷:表明托吡酯可阻斷狀態依賴的鈉通道。托吡酯可提高γ-氨基丁酸 (GABA),啟動GABA受體的頻率,從而加強GABA誘導氯離子內流的能力:表明托吡酯可增強抑制性神經遞質作用。由於托吡酯的抗癲癇特性與苯丙二氮 明顯不同,它可能是調節苯丙二氮 不敏感的GABA受體亞型。托吡酯可拮抗紅藻氨酸(Kainate)啟動興奮性胺基酸(谷氨酸)的Kainate/AMPA亞型,但對N-甲基-D-天冬氨酸(NMDA)的NMDA受體亞型無明顯影響。托吡酯的上述作用在1-200 μM範圍內與濃度相關。1-10 μM為產生最小作用的濃度範圍。此外,托吡酯可抑制一些碳酸酐酶同功酶的作用,這一藥理作用比已知的碳酸酐酶抑制劑乙醯唑胺作用弱,並且不是托吡酯抗癲癇作用的主要特性。對小鼠進行的托吡酯與其它抗驚厥藥物合用的研究表明:托吡酯與卡馬西平或苯巴比妥合用時,顯示協同抗驚厥作用,與苯妥英合用時,顯示加合抗驚厥作用。在控制較好的加用治療中,未觀察到托吡酯最低血漿濃度與其臨床療效間的相關性。未觀察到托吡酯在人體產生耐受性。
【藥 動 學】托吡酯可迅速、完全地被吸收。健康受試者口服托吡酯100 mg後,可在2小時達到平均血漿峰值濃度(Cmax),為1.5 μg/mL。在健康志願者中,托吡酯不被廣泛地代謝(約等於20%)。從人體的血漿、尿和糞中分離、定性、鑑別得出6種經羥基化作用、水解作用和葡萄糖醛酸化作用形成的托吡酯的代謝產物。在給予14C-托吡酯後,每種代謝產物在放射標記的排泄物總量中含量不到3%。對保留了托吡酯大部分結構的其中2種代謝產物進行實驗發現它們幾乎無抗驚厥活性。在人體中,原型托吡酯及其代謝產物的主要清除途徑為經腎臟清除(至少為劑量的81%),約有66%的14C-托吡酯在4天內以原型形式從尿中排泄。
【適 應 證】用於伴有或不伴有繼發性全身發作的部分性癲癇發作的加用治療。
【不良反應】根據約1800名受試者和患者套用妥泰的經驗,總結出本品在安全性方面的特性。依據標準WHO-ART詞典對報導的不良反應進行了分類。由於妥泰通常與其它抗癲癇藥合用,因此不可能確定是哪種藥物或是哪幾種藥物與不良反應有關。然而,在快速調整劑量的安慰劑對照試驗中,最常見的不良反應主要為與中樞神經系統相關的症狀,包括:共濟失調、注意力受損、意識模糊、頭暈、疲勞、感覺異常、嗜睡和思維異常。不常見的不良反應包括焦慮、遺忘、食欲不振、失語、憂鬱、復視、情緒不穩、噁心、眼球震顫、言語表達障礙、味覺倒錯、視覺異常和體重減輕。罕見腎石症的報導。有個例血栓栓塞的報導,其與藥物間的相關性不明確。
【相互作用】妥泰對其他抗癲癇藥物的作用 當妥泰與其它抗癲癇藥物(苯妥英、卡馬西平、丙戌酸、苯巴比妥、撲癇酮加用時,除在極少數病人中發現托吡酯與苯妥英合用時,可導致苯妥英血漿濃度增高外,托吡酯對其他藥物的穩態血漿濃度無影響,這可能是由於一種特殊酶的多晶型異構體(CPY2Cmeph)的抑制作用,因此對任何服用苯妥英並出現毒性臨床體徵或症狀的患者,均應監測其血漿苯妥英濃度。其它抗癲癇藥物對妥泰的影響 苯妥英和卡馬西平可降低妥泰的血漿濃度。在托吡酯治療時,加用或停用苯妥英或卡馬西平時可能需要調整妥泰的劑量,這應以臨床療效為依據來進行調整。丙戌酸的加用或停用不會產生臨床上明顯的妥泰血漿濃度的改變,因此不需調整妥泰的劑量。
【用法用量】請勿將片劑拈碎,服用本藥時不受進食的影響。推薦從低劑量開始治療,逐漸加至有效劑量。劑量調整應從每晚口服50 mg開始,服用1周,隨後,每周增加劑量50-100 mg,分2次服用。劑量應根據臨床療效進行調整。有些患者可能每日服用一次即可達到療效。在加用治療的臨床試驗中,200 mg是產生療效的最低劑量,也是研究中設定的最低劑量,因此認為這一劑量是最小的有效劑量。通常的日劑量為200-400 mg/日,分2次服用,個別患者口服劑量高達 1600 mg/日。套用本藥治療時,不必監測血漿托吡酯濃度即可達到妥泰治療的最佳療效。在套用苯妥英治療同時加用本藥治療時,僅有極少數病例需調整苯妥英的劑量,以達到最佳臨床療效。在本藥治療時,加用或停用苯妥英和卡馬西平治療時,可能需要調整本藥的劑量。上述推薦的劑量適用於所有成人,包括老年人和無腎臟疾患的患者。由於血液透析可清除血漿中的妥泰,因此在進行血液透析期間應將本藥的日劑量補充至原日劑量的1.5倍,在進行血液透析的開始和結束時,補充劑量應分次服用。根據所使用的透析設備的特點,補充劑量可能有所差異。 兒童:兒童用藥的劑量尚無一致意見。可從每日12.5-25mg開始,逐步增加劑量,維持量為每日100mg,分次口服。 在12歲及12歲以下兒童中套用本藥的經驗較少。
【注意事項】已知對本品過敏者禁用。包括本藥在內的抗癲癇藥物應逐漸停藥,以使癲癇發作頻率增高的可能性減至最低。在臨床試驗中,每周減量100 mg/日。某些病人在無併發症的情況下,停藥過程可加速。原型托吡酯及其代謝產物的主要排泄途徑為腎臟清除,腎臟清除的能力與腎臟的功能有關,而與年齡無關,伴有中度或重度腎功能損害的患者達到穩態血漿濃度的時間可能需10-15天,而腎功能正常的患者只需4-8天。與所有患者一樣,劑量調整應根據臨床療效進行(如對癲癇發作的控制、副作用的發生),並且需了解對於已知有腎臟損害的患者,在每個劑量下達到穩態血漿濃度的時間均需延長。
【生產單位】西安楊森製藥有限公司 藥物別名: 妥泰 Topamax 英文名稱: topiramate 說 明: 托吡酯為白色晶體粉末,有苦味,極易溶於氫氧化鈉或磷酸鈉等pH值為9-10的鹼性溶液中,易溶於丙酮,氯仿,二甲亞碸和乙醇。在水中的溶解度為9.8 mg/mL,其飽和溶液的pH值為6.3。本藥為帶有壓紋的圓形包衣片,有下述不同的規格和顏色:25 mg:白色,一面刻有"TOP",另一面刻有"25"。50 mg:淡黃色,一面刻有"TOP",另一面刻有"50"。100 mg:黃色,一面刻有"TOP",另一面刻有“100”。 功用作用: 托吡酮是一個由氨基磺酸酯取代單糖的新型抗癲癇藥物。在培養的神經元中進行的電生理和生化研究得出與其抗癲癇作用有關的托吡酯的三個特性。由神經元持續去極化所反覆激發的動作電位被托吡酯以時間依賴模式阻斷:表明托吡酯可阻斷狀態依賴的鈉通道。托吡酯可提高γ-氨基丁酸 (GABA),激活GABA受體的頻率,從而加強GABA誘導氯離子內流的能力:表明托吡酯可增強抑制性神經遞質作用。 由於托吡酯的抗癲癇特性與苯丙二氮明顯不同,它可能是調節苯丙二氮不敏感的GABA受體亞型。托吡酯可拮抗紅藻氨酸(Kainate)激活興奮性胺基酸(谷氨酸)的Kainate/AMPA亞型,但對N-甲基-D-天冬氨酸(NMDA)的NMDA受體亞型無明顯影響。托吡酯的上述作用在1-200 μM範圍內與濃度相關。1-10 μM為產生最小作用的濃度範圍。此外,托吡酯可抑制一些碳酸酐酶同功酶的作用,這一藥理作用比已知的碳酸酐酶抑制劑乙醯唑胺作用弱,並且不是托吡酯抗癲癇作用的主要特性。 對小鼠進行的托吡酯與其它抗驚厥藥物合用的研究表明:托吡酯與卡馬西平或苯巴比妥合用時,顯示協同抗驚厥作用,與苯妥英合用時,顯示加合抗驚厥作用。在控制較好的加用治療中,未觀察到托吡酯最低血漿濃度與其臨床療效間的相關性。未觀察到托吡酯在人體產生耐受性。用於伴有或不伴有繼發性全身發作的部分性癲癇發作的加用治療。 用法用量: 請勿將片劑拈碎,服用本藥時不受進食的影響。推薦從低劑量開始治療,逐漸加至有效劑量。劑量調整應從每晚口服50 mg開始,服用1周,隨後,每周增加劑量50-100 mg,分2次服用。 劑量應根據臨床療效進行調整。有些患者可能每日服用一次即可達到療效。在加用治療的臨床試驗中,200 mg是產生療效的最低劑量,也是研究中設定的最低劑量,因此認為這一劑量是最小的有效劑量。 通常的日劑量為200-400 mg/日,分2次服用,個別患者口服劑量高達 1600 mg/日。套用本藥治療時,不必監測血漿托吡酯濃度即可達到妥泰治療的最佳療效。在套用苯妥英治療同時加用本藥治療時,僅有極少數病例需調整苯妥英的劑量,以達到最佳臨床療效。在本藥治療時,加用或停用苯妥英和卡馬西平治療時,可能需要調整本藥的劑量。 上述推薦的劑量適用於所有成人,包括老年人和無腎臟疾患的患者。由於血液透析可清除血漿中的妥泰,因此在進行血液透析期間應將本藥的日劑量補充至原日劑量的1.5倍,在進行血液透析的開始和結束時,補充劑量應分次服用。根據所使用的透析設備的特點,補充劑量可能有所差異。 兒童:兒童用藥的劑量尚無一致意見。可從每日12.5-25mg開始,逐步增加劑量,維持量為每日100mg,分次口服。 在12歲及12歲以下兒童中套用本藥的經驗較少。 注意事項: 已知對本品過敏者禁用。包括本藥在內的抗癲癇藥物應逐漸停藥,以使癲癇發作頻率增高的可能性減至最低。在臨床試驗中,每周減量100 mg/日。某些病人在無併發症的情況下,停藥過程可加速。 原型托吡酯及其代謝產物的主要排泄途徑為腎臟清除,腎臟清除的能力與腎臟的功能有關,而與年齡無關,伴有中度或重度腎功能損害的患者達到穩態血漿濃度的時間可能需10-15天,而腎功能正常的患者只需4~8天。 與所有患者一樣,劑量調整應根據臨床療效進行(如對癲癇發作的控制、副作用的發生),並且需了解對於已知有腎臟損害的患者,在每個劑量下達到穩態血漿濃度的時間均需延長。
