2-膦酸丁烷-1,2,4-三羧酸PBTCA
2-Phosphonobutane-1,2,4-TricarboxylicAcid(PBTCA)
CASNo.37971-36-1
別名:1,2,4-三羧酸-2-膦酸基丁烷;PBTC;2-膦醯基-1,2,4-丁烷三羧酸;膦醯基丁烷三羧酸;
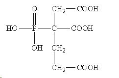
分子式C7H11O9P相對分子質量:270.13
樣品結構式
結構式 一、性能與用途
PBTCA含磷量低,由於它具有膦酸和羧酸的結構特性,使其具有良好的阻垢和緩蝕性能,優於常用的有機膦酸,特別在高溫下阻垢性能遠優於常用的有機膦酸,能提高鋅的溶解度,耐氯的氧化性能好,復配協同性好。PBTCA在高效阻垢緩蝕劑復配中套用最廣,是性能最好的產品之一,也是鋅鹽的優良穩定劑。廣泛套用於循環冷卻水系統和油田注水系統的緩蝕阻垢,特別適合與鋅鹽、共聚物復配使用,可用於高溫、高硬、高鹼及需要高濃縮倍數下運行的場合,PBTCA在洗滌行業中可作螯合劑及金屬清洗劑。
二、技術指標符合HG/T3662-2000
技術指標三、使用方法
PBTCA一般與鋅鹽、共聚物、有機磷、唑類等其它水處理劑復配使用。如單獨使用投加劑量為5~15mg/L。
四、包裝與貯存
PBTCA用塑膠桶包裝,每桶25Kg或250Kg。貯存於室內陰涼處。貯存期十二個月。
五、安全防護
PBTCA為酸性,操作時注意勞動保護,應避免與皮膚、眼睛等接觸,接觸後用大量清水沖洗。
