簡介
齒輪機構是一種高副機構,在各種機械設備中得到廣泛的套用。
齒輪傳動屬於嚙合傳動,它的主要優點是:瞬時傳動比恆定;適用的圓周速度和功率範圍大(速度可達300m/s,功率可從1W~100000kW);傳動效率高(可達0.99);工作可靠,壽命長(可達10~20年);結構緊湊。但是齒輪製造比較複雜、需專用設備;精度不高的齒輪,傳動時噪聲大、振動和衝擊大;不適宜遠距離兩軸之間的傳動。
齒輪機構分類
按照一對齒輪傳動的傳動比是否恆定,齒輪機構可以分為兩大類:其一是定傳動比齒輪機構,齒輪是圓形的,又稱為圓形齒輪機構,是套用最廣泛的一種;其二是變傳動比齒輪機構,齒輪一般是非圓形的,又稱為非圓形齒輪機構,僅在某些特殊機械中適用。
按照一對齒輪在傳動時的相對運動是平面運動還是空間運動,圓形齒輪機構又可以分為平面齒輪機構和空間齒輪機構兩類。
按照一對齒輪軸線的相互位置關係和齒向,齒輪機構分類如下圖所示 :
齒輪機構的分類齒廓嚙合基本定律
工程實際中,對齒輪傳動的基本要求之一是傳動比保持不變,否則,當主動輪等角速度迴轉時,從動輪的角速度為變數,從而產生慣性力。這不僅影響齒輪傳動的工作精度和平穩性,甚至可能導致輪齒過早失效。齒輪機構的傳動比是否恆定,直接取決於兩輪齒廓曲線的形狀。齒廓嚙合基本定律就是研究當齒廓形狀符合何種條件時,才能滿足這一基本要求。
齒輪機構
齒輪機構
齒輪機構
齒輪機構
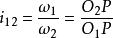
齒輪機構下圖表示一對相互嚙合的傳動的齒輪。兩輪輪齒的齒廓 、 在某一點K接觸,設兩齒廓上K點處的線速度分別為 、 要使這一對齒廓能夠通過接觸而傳動,它們沿接觸點的公法線方向的分速度應相等,否則兩齒廓將不是彼此分離就是相互嵌入,而不能達到正常傳動的目的。兩齒廓接觸點間的相對速度 只能沿著兩齒廓接觸點處的公法線方向。
齒廓嚙合基本定律
齒輪機構兩嚙合齒廓在接觸點處的公法線nn與兩齒輪連心線 的交點P即為兩齒輪的相對瞬心,故兩輪此時的傳動比為
齒輪機構
齒輪機構該式表明,相互嚙合的一對齒輪,在任意位置時的傳動比,都與其連心線 被其嚙合齒廓在接觸點處的公法線所分成的兩線段長成反比。這一規律稱為齒廓嚙合基本定律 。
共軛齒廓
凡能按照預訂傳動比規律相互嚙合的一對齒廓稱為共軛齒廓。理論上,對於預訂的傳動比,只要給定任一齒輪的齒廓曲線和中心距,就可以根據齒廓嚙合基本定律求出與其嚙合傳動的另一齒輪上的共軛齒廓曲線。求共軛齒廓的方法很多,下面只對用作圖法求共軛齒廓的一種做一簡略介紹。
齒輪機構
齒輪機構
齒輪機構
齒輪機構
齒輪機構
齒輪機構
齒輪機構
齒輪機構
齒輪機構
齒輪機構
齒輪機構
齒輪機構
齒輪機構
齒輪機構
齒輪機構
齒輪機構
齒輪機構
齒輪機構
齒輪機構
齒輪機構
齒輪機構
齒輪機構
齒輪機構
齒輪機構
齒輪機構
齒輪機構
齒輪機構
齒輪機構
齒輪機構
齒輪機構在下圖中,已知傳動比 (設為常數)、中心距 和齒輪1的齒廓曲線 ,用包絡線法求與齒廓 共軛的齒廓 的過程如下:依據傳動比 和中心距 可畫出兩齒輪的節圓 和 ,其相切點P即為節點。在齒廓 上取一系列點 、 、 、…,過這些點分別作齒廓 的法線,與節圓 交於點 、 、 、…;依據兩節圓作純滾動的原則,按弧長相等在節圓 上求得相應點 、 、 、…,再分別以點 、 、 、…為圓心,以 、 、 、…為半徑作圓弧,這些圓弧族的包絡線 即為齒輪2的齒廓曲線 。
共軛曲線求法齒輪的常用材料
製造齒輪的常用材料主要有:調質鋼、滲碳鋼、鑄鋼、合金鑄鋼、灰鑄鐵和球墨鑄鐵。
用於製造齒輪的調質鋼的材料牌號有:45#鋼、35SiMn、42SiMn、50SiMn、40Cr、35CrMo、42CrMo、37SiMn2MoV、40CrMnMo、40CrNi、38SiMnMo、42CrMo4V。
用於製造齒輪的滲碳鋼的材料牌號是:20Cr、20CrMnTi、20CrMnMo、38CrMoAl、17CrNiMo6、12Cr2Ni4、20Cr2Ni4、20CrNi3。
用於製造齒輪的鑄鋼和合金鑄鋼的材料牌號有:ZG 310-570、ZG 340-640、ZG 40Mn2、ZG 35SiMn、ZG 42SiMn、ZG 50SiMn、ZG 40Cr、ZG 35CrMo、ZG 35CrMnSi。
用於製造齒輪的灰鑄鐵和球墨鑄鐵的材料牌號有:HT250、HT300、HT350、QT500-7、QT600-3、QT700-2、QT800-2、QT1200-1。
齒輪機構基本要求
在齒輪傳動機構的研究、設計和生產中,一般要滿足以下兩個基本要求:
1、傳動平穩——在傳動中保持瞬時傳動比不變,衝擊、振動及噪音儘量小。
2、承載能力大——在尺寸小、重量輕的前提下,要求輪齒的強度高、耐磨性好及壽命長。

