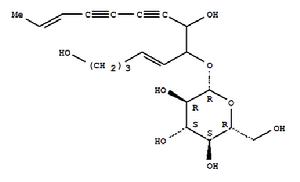
結構式【產品名稱】黨參炔苷
【英文名稱】Lobetyolin
【別名】
【分 子 式】C20H28O8
【分 子 量】396.43152
【C A S 號】136085-37-5
【化學分類】Glycosides 苷
【來 源】桔梗科植物黨參Codonopsis pilosula(Franch.)Nannf.
【規 格】>98%
【性狀】yellow powder
【產品名稱】黨參炔苷
【英文名】Lobetyolin
【分子式】C20H28O8
【分子量】396.44
【CAS號】136085-37-5
【檢測方式】高效液相色譜法HPLC≥98%
【規格】10mg 20mg 100mg 500mg 1g (可根據客戶需求包裝)
【性狀】 本品為淡黃色結晶
【作用與用途】本品用於含量測定。
【提取來源】
本品為由桔梗科多年生草本植物黨參的根.。
【含量測定方法】:固定相:C18(4.6×250mm)流動相:乙腈:水(21:79);檢測波長:267nm流速:1.0ml/min進樣量:10ul柱溫:室溫
【貯藏方法】
2-8°C,避光保存。
【注意事項】 本品應在低溫下保存,長時間在暴露在空氣中,含量會有所降低。
