高中直線方程之一。
若向量(u,v)是直線L 的一個方向向量 , [非零向量] 。
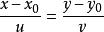
點方向式直線方程
點方向式直線方程(,)是直線上一點
則:
點方向式直線方程uv不等於零 , 直線方程為
u=0 ,v 不等於零 , 直線方程為 x=x0
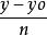
v=0 ,u 不等於零 , 直線方程為 y=y0
點方向式直線方程
點方向式直線方程
點方向式直線方程設點M(x,y,z)是直線L上的任意一點,且向量 MoM與直線L的方向向量 S平行,所以兩向量的對應坐標成比例,由於 MoM=(x-xo,y-yo,z-zo), S=(m,n,p),從而有==.
點方向式直線方程如果在上式後面加上一個=t。那么原式可以轉換為這便是直線的參數方程。

