簡介
黑利性質是簡單超圖的特殊性質。
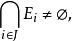
黑利性質設H=(E,E,...,E)是一個簡單超圖,若對於任何J⊂{1,2,...,m},從條件對任何i,j∈J,E∩E≠∅可以導出條件則稱H滿足黑利性質。
適用範圍
若H的節點集由一條直線上所有點組成,它的邊集為這條直線中的一些區間,則稱H為一個區間超圖。黑利(Helly,E.)的一個定理指出這種超圖具有上述性質,這也就是稱之為黑利性質的緣由。
若取H的節點集X為自然數的集合,邊為X上的算數級數,則H上的黑利性質就是著名的中國剩餘定理,或稱孫子定理。
k黑利性質
一個簡單超圖H=(E,E,...,E),若對於任何J⊂{1,2,...,m}滿足性質:
黑利性質1、對任何I⊂J,從|I|≤k可導出,
黑利性質2、,
則稱它有k黑利性質。
黑利性質就是指2黑利性質。
