
目前市場上使用的SAP幾乎都是聚丙烯酸類,而魔芋超強吸水劑(KSAP)克服了常用SAP所存在生物降解性差以致容易造成環境污染,資源日益消耗並趨向短缺等問題,是一種綠色環保並且吸液能力強大的新型吸水劑,在各行業中有著廣闊的套用前景。

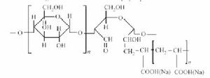
魔芋超強吸水劑(KSAP)系魔芋多糖與丙烯酸(鈉)的接枝產物,為均一性的聚合物,其中含有大量的羥基和羧基親水基團,且是以魔芋多糖為主鏈,以接枝的聚丙烯酸(鈉)為側鏈的聚合物,其接枝效率為75%。

魔芋超強吸水劑抗旱保水套用試驗,200720422140,市科技局。8....,2007,25(2):276-279.劉愛紅,姜發堂*.魔芋超強吸水劑...。主要學術論文劉愛紅,姜發堂*,張聲華. 魔芋粉接枝丙烯酸(鈉)超強吸水...
個人簡介 主要研究方向和成果 科研項目 榮譽稱號 主要學術論文不是一種營養素,但在人體攝入後,它即吸水膨脹,吸附食物中的有害成份,刺激...。 ...奇亞籽固體飲料成分奇亞籽 獼猴桃 櫻桃 魔芋 奇亞籽 它是優質...的通便效果及造血功能。魔芋 生長在疏林下,是有益的鹼性食品,對食用動物性...
凡謎so身套盒 So身套盒成分 So身套盒的理念 膠原蛋白液態飲-主要成分煤矸石、劣質煤用的粘合劑149.改性白乳膠150.改性超強吸水劑配方...1.內胎自補劑2.一種冷制高強快乾粘合劑及其製法3.一種可溶可食玉米澱粉...工藝22.一種生產氧化澱粉膠的工藝生產方法23.一種用魔芋粉製作的內外牆...
概念 製作方法 複合型 製備方法 塗料