定義
高能磷酸化合物是指水解時釋放的能量在20.92kJ/mol以上的磷酸化合物。機體內有許多磷酸化合物如ATP,1,3—二磷酸甘油酸,氨甲醯磷酸,磷酸烯醇式丙酮酸,磷酸肌酸,磷酸精氨酸等,它們的高能磷酸鍵斷裂時,可釋放出大量的自由能,這類化合物稱為高能磷酸化合物。ATP是這類化合物的典型代表。ATP水解生成ADP及無機磷酸時,可釋放自由能7.3千卡(30.52千焦)。一般將水解時釋放自由能在5.0千卡(20.9千焦)以上的稱為高能化合物。5.0千卡以下的稱為低能化合物,化學家認為鍵能是指斷裂一個鍵所需要的能量,而生物化學家所指的是含有高能鍵(酸酐鍵)的化合物水解後釋放出的自由能。高能鍵用“~”表示。
化學結構分類
從化學結構上含高能磷酸鍵的化合物分為:1、磷酸酐,如焦磷酸,核苷酸;2、羧酸和磷酸合成的混合酸酐,如乙醯磷酸,1,3-二磷酸甘油酸,氨基醯-AMP;3、烯醇磷酸,如磷酸烯醇式丙酮酸;4、磷氨酸衍生物(R-NH-PO3H2),如磷酸肌酸。
ATP——最常見的高能磷酸鍵化合物
ATP
生命體內最常見、最重要的高能磷酸化合物——ATP【三磷酸腺苷】(Adenosine triphosphate)
高能磷酸化合物在生物化學中,三磷酸腺苷是一種核苷酸,作為細胞內能量傳遞的“分子通貨”,儲存和傳遞化學能。ATP在核酸合成中也具有重要作用。
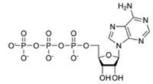
ATP是三磷酸腺苷的英文名稱縮寫。ATP分子的結構是可以簡寫成A-P~P~P,其中A代表腺苷,P代表磷酸基團,~代表一種特殊的化學鍵,叫做高能磷酸鍵,高能磷酸鍵斷裂時,大量的能量會釋放出來。ATP可以水解,這實際上是指ATP分子中高能磷酸鍵的水解。高能磷酸鍵水解時釋放的能量多達30.54kJ/mol,所以說ATP是細胞內一種高能磷酸化合物。
化學性質
ATP由腺苷和三個磷酸基所組成,分子式C10H16N5O13P3,化學簡式C10H8N4O2NH2(OH)2(PO3H)3H,分子量507.184。三個磷酸基團從腺苷開始被編為α、β和γ磷酸基。ATP的化學名稱為5'-三磷酸-9-β-D-呋喃核糖基腺嘌呤,或者5'-三磷酸-9-β-D-呋喃核糖基-6-氨基嘌呤。
合成
ATP的立體結構ATP可通過多種細胞途徑產生,最典型的如線上粒體中通過氧化磷酸化由ATP合成酶合成,或者在植物的葉綠體中通過光合作用合成。ATP合成的主要能源為葡萄糖和脂肪酸。每分子葡萄糖先在胞液中產生2分子丙酮酸同時產生2分子ATP,最終線上粒體中通過三羧酸循環產生最多36分子ATP。
人體中的ATP
人體中ATP的總量只有大約0.1摩爾。人體細胞每天的能量需要水解200-300摩爾的ATP,這意味著每個ATP分子每天要被重複利用2000-3000次。ATP不能被儲存,因為ATP的合成後必須在短時間內被消耗.
ATP對人體供能
無氧代謝劇烈運動時,體內處於暫時缺氧狀態,
在缺氧狀態下體內能源物質的代謝過程,稱為無氧代謝。它包括以下兩個供能系統。
①非乳酸能(ATP—CP)系統—一般可維持10秒肌肉活動
無氧代謝
②乳酸能系統—一般可維持1~3分的肌肉活動
非乳酸能(ATP—CP)系統和乳酸能系統是從事短時間、
劇烈運動肌肉供能的主要方式。ATP釋放能量供肌肉收縮的時間僅為1~3秒,
要靠CP分解提供能量,但肌肉中CP的含量也只能夠供ATP合成後
分解的能量維持6~8秒肌肉收縮的時間。因此,
進行10秒以內的快速活動主要靠ATP—CP系統供給肌肉收縮時的能量。
乳酸能系統是持續進行劇烈運動時,肌肉內的肌糖元在缺氧狀態下進行酵解,
經過一系列化學反應,最終在體內產生乳酸,同時釋放能量供肌肉收縮。
這一代謝過程,可供1~3分左右肌肉收縮的時間。
禽用機理
【作用與用途】1.用於肉雞、肉鴨、豬、肉牛、肉羊、魚、蝦等肉質動物的增肥、促生長;2.用於因疾病導致的動物飲水、採食量下降,快速補充機體能量水平;3.使用本品能促使動物發病後快速恢復健康;4.適用於動物因疾病、藥物、毒素等各種致病因素引起的肝臟損傷、腎臟損傷、腸黏膜損傷、輸卵管損傷後的修復。
其他常見的高能磷酸化合物
磷酸肌酸
高能磷酸化合物磷酸肌酸主要存在於動物和人體細胞中,特別是骨骼肌細胞中,當由於能量大量消耗而使細胞中ATP含量過分減少時,磷酸肌酸就釋放出所儲存的能量,供ADP合成為ATP,這是動物體內ATP形成的一個途徑。當肌細胞中的ATP濃度過高時,肌細胞中的ATP可將其中的高能磷酸鍵轉移給肌酸,生成磷酸肌酸,其變化可表示為:
磷酸肌酸是能量的一種儲存形式,但是不能直接被利用。對於動物和人來說,它在能量的釋放、轉移和利用之間起著緩衝作用,使細胞內ATP的含量保持相對的穩定。
醫療用途:心臟問題。
體育用途:磷酸肌酸是一種可以提高肌肉力量的高能化合物,與蛋白合成激素結合使用可達到最佳效果。
AMP
高能磷酸化合物AMP一磷酸腺苷(adenosine monophosphate)
由一分子腺苷與一個磷酸根組成的化合物,是一種核苷酸。它同時也是我們常說的腺嘌呤核糖核苷酸,RNA的組成單位之一。
ADP
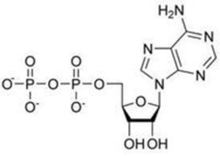
高能磷酸化合物ADP——二磷酸腺苷(adenosine diphosphate)
由一分子腺苷與兩個相連的磷酸根組成的化合物,是一種核苷酸。在生物體內,通常為三磷酸腺苷(ATP)水解失去一個磷酸根,並釋放能量後的產物。
當一個ATP分子的磷酸根水解斷裂時,會產生二磷酸腺苷,並釋放出7.3千卡的能量。
反之,二磷酸腺苷與磷酸根反應(吸收能量)會生成三磷酸腺苷。在光合作用中吸能過程就有此反應。
其它三磷酸苷
活細胞中也有其他的高能三磷酸鹽如鳥苷三磷酸。能量可以在這些三磷酸鹽和ATP中由磷酸激酶催化反應之類的反應轉移:當磷酸鍵被水解的時候能量就會被釋放。這種能量可以被多種酶、肌動蛋白和運輸蛋白用於細胞的活動。水解還會生成自由的磷酸鹽和二磷酸腺苷。二磷酸腺苷又可以被進一步水解為另一個磷酸離子和一磷酸腺苷。ATP也可以被直接水解為一磷酸腺苷和焦磷酸鹽,這個反應在水溶液中是高效的不可逆反應。
ADP與GTP的反應
ADP + GTP→ATP + GDP
二磷酸腺苷 + 三磷酸鳥苷→三磷酸腺苷 + 二磷酸鳥苷
C10H15N5O10P2+C10H16N5O14P3→C10H16N5O13P3+C10H15N5O11P2
ATP可能會被作為納米技術和灌溉的能源。人工心臟起搏器可能收益於這種技術而不再需要電池提供動力。
三磷酸腺苷是體內廣泛存在的輔酶,是體內組織細胞所需能量的主要來源,蛋白質、脂肪、糖和核苷酸的合成都需ATP參與。ATP經腺苷酸環化酶催化形成環磷酸腺苷(cAMP),是細胞內的生物活性物質,對細胞許多代謝過程有重要的調節作用。
ATP為蛋白質、糖原、卵磷脂、尿素等的合成提供能量,促使肝細胞修復和再生,增強肝細胞代謝活性,對治療肝病有較大針對性。但外源性ATP不易進入細胞,且與體內需要的量比較,可能提供的量微不足道。
三磷酸腺苷(Adenosine Triphosphate,ATP)
【異名】腺三磷。
【主要成分】三磷酸腺苷。
【藥理作用】本品為一種輔酶。有改善肌體代謝的作用,參與體內脂肪、蛋白質、糖、核酸及核苷酸的代謝,同時又是體內能量的主要來源。適用於細胞損傷後細胞酶減退引起的疾病。動物試驗發現本品對心肌細胞的電生理有明顯作用,可抑制慢反應細胞的鈣離子內流,阻斷和延長房室結折返環路的前向傳導,大劑量尚可阻斷房室旁路的折返性,具有增強迷走神經的作用,可用室上性心動過速。
【適應證】室上性心動過速、心力衰竭、心肌炎、心肌梗塞、腦動脈硬化、冠狀動脈硬化、急性脊髓灰質炎。
高能磷酸化合物的缺乏
心肌正常情況下以有氧代謝形式生成三磷酸腺苷(ATP)供作功需要。心肌缺血時則轉為無氧代謝為主,ATP合成減少,以致心舒縮功能障礙。在犬的實驗中證明,心肌嚴重缺血15分鐘(結紮冠狀動脈左鏇支),心肌發生可逆性損傷。此時如果得到血液再灌注,則細胞並不死亡。但有很多報告指出,短時間缺血後,收縮功能長時間不能恢復。究其原因,多認為與ATP水平的低下有關。研究證明缺血15分鐘時不僅ATP減少60%。總腺苷酸池也減少50%。ADP也輕度減少(可能轉為ATP或AMP),AMP明顯升高,但其升高程度小於ATP減少輻度。再灌注20分鐘ATP明顯回升,但只接近正常的一半,再灌注24小時仍然維持在低水平上,只有在再灌注4天后ATP及總腺苷池才近於恢復,但仍低於非缺血區(→圖)。
以大鼠離體作功心臟為模型(Neely氏模型),先在20℃低溫下給心臟停跳液,再短時間全心缺血(夾住主動脈)後,再灌注生理溶液。結果是給停跳液30分鐘再缺血30分鐘後,ATP幾乎完全喪失,ADP明顯減少,AMP明顯增加,總腺苷酸量顯著降低。再灌注60分鐘可使ATP明顯回升,但不及正常對照的一半,而總腺苷酸量則明顯低於給停跳液後,比正常對照減少50%。上述研究提示缺血及再灌注損傷的心肌有氧代謝性發生嚴重損傷,影響能量代謝及心肌功能的恢復。
再灌注時高能磷酸化合物之所以恢復慢且總腺苷酸水平明顯下降,可能與下列因素有關。
(一)缺血心肌的代謝障礙主要表現為對氧的利用能力受限,有氧代謝嚴重受損。在缺血進入不可逆階段再灌注時,氧的利用並不增加,心肌只能利用運至心肌的氧的17%。氧的利用能力受限與缺血及再灌注所致線粒體受損有關。
(二)ATP合成的前身物質(腺苷、肌苷、次黃嘌呤等)在再灌時被沖洗出去,使心肌失去再合成高能磷酸化合物的物質基礎。實驗證明在再灌注液中補充肌苷或谷氨酸能促進ATP的合成及心功能的恢復。
3.線粒體膜發生氧自由基誘發的脂質過氧化反應使線體受損。線粒體膜富有磷脂,線粒體在缺氧時又是產生自由基的場所,因此極易引起膜脂過氧化使線粒體功能障礙。
心肌缺血/再灌注時ATP、Ca2+、K+的變化
