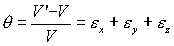
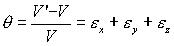
無限小應變條件下:
體積應變
體積應變定義為物體單位體積的改變數,一般用θ 表示。當體積V增大或者縮小ΔV時,體積應變可用下式標示θ =ΔV/V
無限小應變條件下:
體積應變我國《大體積混凝土施工規範》GB50496-2009里規定:混凝土結構物實體最小几何尺寸不小於1m的大體量混凝土,或預計會因混凝土中膠凝材料水化引起的溫...
材料特點 裂縫成因 配製方法 材料區別 裂縫原因工程應變是相對於真應變而言,工程應變定義為試件標距範圍內的伸長量 除以標距的初始值,就是通常所稱的應變。真實應變可以由工程應變得出。因為工程應力應變曲線...
定義 工程應變與真應變的關係 工程應變應力的實用意義平面應變(plane strain)是指變形的前後,應變橢球體中間主應變軸長度不變的應變狀態。 平面應變:只在平面內有應變,與該面垂直方向的應變可忽略,...
簡介 平面應變有限元分析中砂井的處理方法 平面應變條件下土坡穩定有限元分析以應變和應力的形式貯存在物體中的勢能,又稱變形能。
正文單位體積的彈性應變能稱為彈性應變能密度。應變能密度與桿件無關,只與應力狀態有關。
概念 彈性應變能 軸向拉壓桿 三向應力狀態應變狀態是彈性體內某一點各個不同方向的應變情況,同應力分量一樣,物體內任一點的六個應變分量隨坐標系的旋轉而改變。彈性體也存在三個相互垂直的應變主方向,在...
介紹 分析 總結體積模量是彈性模量的一種,它用來反映材料的巨觀特性,即物體的體應變與平均應力(某一點三個主應力的平均值)之間的關係的一個物理量。
含義 單位 相關概念 晶體的體積模量物件受外力作用,當其內部的應力超過物件材料的屈服點後所產生的應變稱為屈服應變。物件發生屈服應變時,即使在外力不增加的情況下,其應變也將持續增加。一般情況...
簡介 實驗 結果與討論 總結應變指在外力和非均勻溫度場等因素作用下物體局部的相對變形。
簡介 分類