簡介
應變[物理術語]物體在受到外力作用下會產生一定的變形,變形的程度稱應變。應變有正應變(線應變),切應變(角應變)及體應變。正應變公式為,式中 l是變形的前長度,Δ l是其變形後的伸長量。
分類
應變[物理術語]
應變[物理術語]
應變[物理術語]
應變[物理術語]
應變[物理術語]
應變[物理術語]主要有線應變和角應變兩類。線應變又叫正應變,它是某一方向上微小線段因變形產生的長度增量(伸長時為正)與原長度的比值;角應變又叫剪應變或切應變,它是兩個相互垂直方向上的微小線段在變形後夾角的改變數(以弧度表示,角度減小時為正。應變與所考慮的點的位置和所選取的方向有關。物體中一點附近的微元體在所有可能方向上的應變的全體稱為一點的應變狀態。它可由一點在三個正交的坐標( x, x, x)方向的應變分量 ε( i, j=1,2,3)來確定,其中、、分別為 x、 x、 x方向的正應變,而反映而 x、 x兩方向上微小線段的夾角改變數(事實上,為 x、 x方向微線段間夾角改變數的一半),余類推。過一點所有的截面中,剪應變為零的截面稱為應變主平面,其法向稱為應變主方向,該方向上的正應變稱為主應變。線上性變形理論中,直角坐標系( x, x, x)中的與坐標方向的位移 u、 u、 u之間有如下關係:
應變[物理術語]
應變[物理術語]
應變[物理術語]
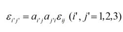
應變[物理術語]由確定其他方向的應變相當於坐標變換,在新坐標(,,)中應變分量為:
應變[物理術語]式中 a為新坐標同舊坐標 x的夾角的餘弦;重複下標表示約定求和。
應變[物理術語]
應變[物理術語]
應變[物理術語]在九個應變分量中,=,即只有六個獨立分量,它們構成一個二階對稱張量,稱為應變張量,用矩陣可表為:
應變[物理術語]它精確地描述了物體變形後局部的幾何性質。
如把應變張量分解為:
應變[物理術語]
應變[物理術語]
應變[物理術語]式中=1/3,則右端第一項反映微元體的體積變化,第二項反映微元體的形狀變化。
