詞語釋義
飽和度指色彩的純潔性,也叫 飽和度或 彩度,是“色彩三屬性”之一。如大紅就比玫紅更紅,這就是說大紅的色度要高。它是HSV色彩屬性模式,孟塞爾顏色系統等的描述色彩變數。各種單色光是最飽和的色彩,物體的色飽和度與物體表面反色光譜的選擇性程度有關,越窄波段的光發射率越高,也就越飽和。對於人的視覺,每種色彩的飽和度可分為20個可分辨等級。
從廣義上說,黑白灰是“色度=0”的顏色。在各種色彩模型中,對色度有不同的量化模式。
•孟塞爾顏色系統中稱為Chroma,並以黑白灰為彩度0點,將各種彩色按照表示“差別多大距離”而分級,導致各種顏色最鮮艷的彩度級別不一樣。如色相5R (紅)最高的彩度可以達到14,而色相5BG(青綠)最高的彩度只有8。即使同樣是彩度6,各種顏色的鮮艷程度並不是和人的感官直覺很一致。
•HSV色彩屬性模式中這個指標稱為Saturation,即飽和度。
•日本PCCS系統中,這個指標漢字寫作“彩度”,但是翻譯成英文是稱Saturation,即飽和度。將無彩色的黑白灰定為0,最鮮艷定為9s,這樣大致分成十階段,讓數值和人的感官直覺一致。
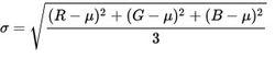
•在三原色光模式中,飽合度可定量化用σ表示某一色彩與純色的差別:
飽和度[色彩概念]色度由光線強弱和在不同波長的強度分布有關。最高的色度一般由單波長的強光(例如雷射)達到,在波長分布不變的情況下,光強度越弱則色度越低。
飽和度[色彩概念]
飽和度[色彩概念]
飽和度[色彩概念]土體中水飽和度:土體中孔隙水體積與孔隙體積之比值。以百分數計,砂土的濕度可分為三種狀態:稍濕≤50% ; 很濕50%≤≤80%; 飽和>80%.
英文
①degree of bed saturation
固定床器穿透時,床層內吸附制的實際吸附量與相同條件下床層內吸附荊吸附達平衡時的吸附里之比。亦即吸附荊的動活性與靜活性之比.其值的大小與吸附荊的種類、性質、顆粒大小、氣體中吸附質的性質及濃度、吸附平衡的性質及吸附操作條件等因素有關。
②saturation
用以估價純彩色在整個色覺(包括無彩色)中的成分的視覺屬性。它與瀕色的純度這一物理心理里有關(或近似相關)。它決定於顏色光中所混入的白色光的數里,純光譜色的含量愈多,則它愈高。
![飽和度[色彩概念] 飽和度[色彩概念]](/img/b/9e7/nBnauM3X2gTM2EjM5YDOwADO1UTM1QDN5MjM5ADMwAjMwUzL2gzL0EzLt92YucmbvRWdo5Cd0FmLwE2LvoDc0RHa.jpg)
