氫化物發生原子螢光光譜法
原理
試樣經酸加熱消化,錫被氧化成四價錫,在硼氫化鈉(NaBH)的作用下生成錫的氫化物並由載氣帶入原子化器中進行原子化。在特製錫空心陰極燈的照射下,基態錫原子被激發至高能態,在去活化回到基態時,發射出特徵波長的螢光,其螢光強度與錫含量成正比,與標準系列比較定量。
試劑
(1)硝酸+高氯酸混合酸(4+1)。
(2)硫酸(優級純)。
(3)硫酸溶液(1+9):量取100 mI硫酸倒入900 mL水中混勻。
(4)硫脲(150 g/L)+抗壞血酸(150g/L):分別稱取15 g硫脲和15 g抗壞血酸溶於水
中,並稀釋至100mL(此溶液需置於棕色瓶中避光保存)。
(5)氫氧化鈉溶液(5g/L):稱取5.0 g氫氧化鈉,溶於1000 mL水中混勻。
(6)硼氫化鈉溶液(7g/L):稱取7.0 g硼氫化鈉,溶於氫氧化鈉溶液(5g/L)中,並定容至1000 mL,臨用時現配。
(7)錫標準使用液:準確吸取100ug/mL錫國家標準溶液(標準號:BW 3035)1.0 mL於100mL容量瓶中,用硫酸溶液(1+9)定容至刻度。此溶液濃度為1ug/mL。
儀器
(1)雙道原子螢光光度計。
(2)電熱板。
操作步驟
1.樣品處理
糧食、豆類除去雜質和塵土,碾碎過40目篩;水果、蔬菜、肉、水產類洗淨晾乾,取
可食部分製成勻漿。 稱取試樣1.0 g-5.0 g於錐形瓶中,加1.0mL濃硫酸,10.0 ml硝酸+高氯
酸混合酸(4+1),3粒玻璃珠,放置過夜。次日置電熱板上加熱消化,如酸液過少,可適當補加硝酸。繼續消化至冒白煙,待液體體積近1 mL時取下冷卻。用水將消化試樣轉入50mL容量瓶中,加水定容至刻度,搖勻備用。同時做空白試驗。分別取定容後的試樣10 mL於15 mL比色管中,加入2 mL硫脲(150g/L)+抗壞血酸(150g/L)混合溶液,搖勻。
2.標準系列的配製
分別吸取錫標準使用液0.0、0.1、0.5、1.0、1.5、2.0 mL。於15 mL比色管中,分別加入
硫酸溶液(1+9)2.0、1.9、1.5、1.0、0.5、0.0 mL,用水定容至10 mL,再加入2 mL硫脲(150 g/L)+抗壞血酸(150g/L)混合溶液,混勻。
3.測定
(1)儀器參考條件:負高壓,380 V;燈電流,70 mA;原子化器,溫度850℃,高度10mm;氬氣流速,載氣500mL/min,禁止氣流量1200mL/min;測量方式,標準曲線法;讀數方式,蜂面積;延遲時間,1s;讀數時間,15 s;硼氫化鈉加液時間,8 s;標液或樣液加液體積,2 mL。
(2)測定方法:根據試驗情況任選以下一種方法。
①濃度測定方式測量:設定好儀器最佳條件,逐步將爐溫升至所需溫度後,穩定10-20min
後開始測量。連續用標準系列零管進樣,待讀數穩定後,轉入標準系列測量,繪製標準曲線。轉入試樣測定,分別測定試樣空白和試樣消化液每測不同的試樣前都應清洗進樣器。試樣測定結果按結果計算中的公式計算。
②儀器自動計算結果方式測量:設定好儀器最佳條件,在試樣參數畫面輸入樣品質量(g或mL)和稀釋體積(mL)兩個參數,並選擇結果的濃度單位,逐步將爐溫升至所需溫度,穩定後測量。連續用標準系列零管進樣,等讀數穩定後,轉入標準系列測量,繪製標準曲線。在轉入試樣測定之前,再進入空白值測量狀態,用試樣空白消化液進樣,讓儀器取其均值作為扣除的空白值。隨後即可依次測定試樣。測 定完畢後,選擇“列印報告”即可將測定結果自動列印。
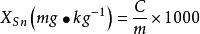
結果計算
食品中錫的測定式中
X為試樣中錫含量(mg/kg或mg/L);
C為試樣消化液測定濃度(ng/mL);
C為試樣空白消化液濃度(ng/mL);
V為試樣消化液總體積(mL);
m為試樣質量或體積(g或mL)。
計算結果保留兩位有效數字。
精密度
在重複性條件下獲得的2次獨立測定結果的絕對差值不得超過算術平均值的10%。
苯芴酮光度法
原理
在酸性介質中,錫易與苯芴酮形成微溶性橙紅色絡合物。在保護性膠體存在下進行比色測定。加入抗壞血酸、酒石酸以隱蔽鐵離子等的干擾。
試劑
(1)酒石酸溶液(100 g/L);1:9硫酸溶液;1%抗壞血酸溶液(貯存於冰櫃中)。
(2)動物膠溶液(5 g/L),稱取0.5g動物膠,移入50mL燒瓶中,加入20-30mL水,在60℃溶解後移入100mL容量瓶中。臨用時配製,貯存於冰櫃中。
(3)0.03%苯芴酮溶液:稱取0.003 g苯芴酮加少量無水乙醇溶解後,加數滴1:9硫酸溶液,透明後,移入100mL容量瓶中,以無水乙醇稀釋至刻度,貯存於冰櫃中。
(4)錫標準溶液:準確稱取0.100 0 g純錫置於小燒杯中,加10mL濃硫酸並蓋上表面皿, 加熱至錫完全溶解,移去表面皿,繼續加熱至發生濃自煙,冷卻,加入50 mL水,移入1000 mL容量瓶中,用1:9硫酸多次洗滌燒杯,洗液並人容量瓶中,並稀釋至刻度,混勻。此溶液每毫升相當於100ug錫。
儀器
分光光度計。
操作步驟
1.樣品處理
(1)乾法處理
稱取攪拌均勻樣品20.0g於瓷坩堝中,在微火上炭化,移入500℃高溫電爐中灰化成白色灰燼。難灰化的樣品可加10%硝酸鎂液2mL作助灰劑。如果樣品在高溫爐中不易燃燒成灰白色時,可在冷卻後於坩堝中加濃硝酸數滴使殘渣潤濕,蒸乾後再行灼燒。灼燒後的灰份用1:1鹽酸2mL、水5mL加熱煮沸,冷卻後移入100mL容量瓶中,並用水稀釋至刻度,必要時進行過濾。
(2)濕法處理
稱取攪拌均勻樣品20.0g於凱氏燒瓶中,加入濃硫酸10mL、濃硝酸20mL,先以小火加熱,待劇烈作用停止後,加大火力並不斷滴加濃硝酸直至溶液透明不再轉黑為止。每當消化溶液顏色變深時立即添加硝酸,否則容易難以消化完全。待溶液不再轉黑後,繼續加熱數分鐘至有白色冒出,冷卻,然後加入10mL水。繼續加熱至冒白煙為止,冷卻。將內容物移入100mL容量瓶中,並以水稀釋至刻度,搖勻備用。
2.標準曲線繪製
準確吸取每毫升相當於100ug的錫標準溶液0.0、1.0、2.0、3.0、4.0、5.0 mL,分別置於50mL容量瓶中,加入酒石酸溶液0.5mL、抗壞血酸溶液5mL、明膠溶液1.5mL、1:9硫酸溶液,並準確地加入苯芴酮溶液, 用水稀釋至刻度,搖勻,30min後於分光光度計492nm波長下測定吸光度,繪製標準曲線。
3.樣品分析
吸取樣品溶液置於10mL比色皿中,以1:1氨水中和後,加入酒石酸溶液0.5mL,抗壞血酸5mL,以上操作同標準曲線的繪製。根據標準曲線查出錫的含量。
結果計算
食品中錫的測定式中:C為從標準曲線中查出的錫質量(mg);
m為吸取的樣品質量。
注意事項
天冷時由於顯色反應緩慢,標準和樣品分析溶液加入顯色劑後,可在37℃恆溫箱內放置,在比色。色澤油黃至橙紅色(視錫含量而定)。
原子吸收分光光度法
原理
測定樣品經酸消化後,導入原子吸收分光光度計中,經火焰原子化後,吸收波長224.6nm的共振線,其吸收量與錫含量成正比,與標準曲線比較定量。
試劑
(1)硫酸:硝酸。
(2)錫標準貯備液:精確稱取1.000g金屬錫(純度>99.99%),溶於100mL鹽酸中,移入1000mL容量瓶中,用去離子水定容至刻度,儲存於聚乙烯瓶內,置冰櫃保存。此溶液每毫升相當於1mg錫。
儀器
原子吸收分光光度計,帶錫空心陰極燈。
操作步驟
1.樣品處理
量取200mL果汁飲料,以3000r/min的速度離心10min,使纖維素沉澱,取上層清液100mL置於250mL三角瓶中,在電熱板上低溫加熱使水分蒸發(注意不要沸騰)。待蒸至樣品液呈糖漿狀時,加入15mL硫酸,瓶口蓋上玻璃片,浸泡過夜。第二天於通風櫃內電熱板上加熱消化。如果樣品含糖量高,可再補加5mL硫酸,並滴加硝酸約10mL,繼續加熱,直至棕色氣體消失,溶液變清並冒白煙為止。消化液冷卻後,用去離子水洗至100mL容量瓶內,定容搖勻,過濾後待測。同時製備試劑空白液。
2.測定
由於消化好的待測液中含有大量的硫酸和鈉離子,採用標準加入法測定。取3隻50mL容量瓶,分別加入20mL的待測溶液,再分別加入0.0、2.5、5.0mL標準貯備液(1mg/mL),用去離子水定容至刻度,混勻待測。
3.儀器條件:波長224.6nm,燈電流、狹縫、空氣乙炔流量及燈頭高度均按儀器說明書調至最佳狀態。點燃空氣-乙炔火焰,分別測定標準溶液,繪製吸收值與標準溶液的工作曲線,並將曲線外推與濃度軸相交,交點的絕對值即待測溶液的濃度。如果儀器具有測定負吸收值的功能,可將標準濃度與相應的吸收值輸入儀器,測定空白液濃度,給出濃度的絕對值即待測溶液的濃度。
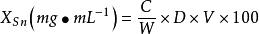
結果計算
食品中錫的測定式中:C為標準溶液的濃度(mg/mL);
D為稀釋倍數;
V為樣品待測溶液體積(mL);
W為果汁飲料體積(mL)。
允許偏差
相對標準偏差小於5%。
說明
採用標準加入法測定,最好還要用氘氣燈背景校正器。因為果汁飲料中往往含有大量的鈉離子,產生光散射背景干擾檢測結果必須扣除。

