定義
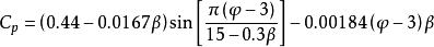
槳葉風能利用係數用C表示,表示了風力發電機將風能轉化成電能的轉換效率。根據貝茲理論,風力發電機最大風能利用係數為0.593。風能利用係數大小與葉尖速比和槳葉節距角有關係。它的具體表達式如下:
風能利用係數
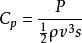
風能利用係數其中, ——空氣密度,單位為kg/m ;
風能利用係數——風力機實際獲得的軸功率,單位為W;
風能利用係數——風輪的掃風面積,單位為m ;
風能利用係數——實際風速,單位為m/s。
近似表達
變槳距風力機特性曲線
風能利用係數
風能利用係數
風能利用係數風力機的特性通常由一簇功率係數C的無因次性能曲線來表示,風能利用係數是風力機葉尖速比和節距角的函式,即,風能利用係數C,可近似用一下公式表示:
風能利用係數從圖中可以得出一下兩點結論:
風能利用係數
風能利用係數(1)對於某一固定槳距角,存在唯一的風能利用係數最大值C,對應一個最佳葉尖速比;
風能利用係數(2)對於任意的尖速比名,槳葉節距角=0 下的風能利用係數C相對最大。
槳葉節距角增大,風能利用係數C明顯減小。
風能利用係數以上兩點即為變速恆頻變槳距控制的理論依據:
在風速低於額定風速時,槳葉節距角=0,通過變速恆頻裝置,風速變化時改變發電機轉子轉速,使風能利用係數恆定在C,捕獲最大風能;
在風速高於額定風速時,調節槳葉節距角從而減少發電機輸出功率,使輸出功率穩定在額定功率 。

