顏色是彩色圖像最重要的內容之一,被廣泛用於圖像檢索中。但從圖像中提取顏色特徵時,很多算法都先要對圖像進行量化處理。量化處理容易導致誤檢,並且產生的圖像特徵維數較高,不利於檢索。
AMA Stricker和M Orengo提出了顏色矩的方法 ,顏色矩是一種簡單有效的顏色特徵表示方法,有一階矩(均值,mean)、二階矩(方差, variance)和三階矩(斜度,skewness)等,由於顏色信息主要分布於低階矩中,所以用一階矩,二階矩和三階矩足以表達圖像的顏色分布,顏色矩已證明可有效地表示圖像中的顏色分布,該方法的優點在於:不需要顏色空間量化,特徵向量維數低;但實驗發現該方法的檢索效率比較低,因而在實際套用中往往用來過濾圖像以縮小檢索範圍。
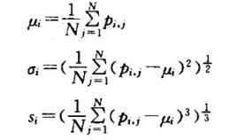
三個顏色矩的數學定義如下:
顏色矩
顏色矩
顏色矩
顏色矩其中, 表示彩色圖像第j個像素的第i個顏色分量,N表示圖像中的像素個數。
圖像的三個分量Y,U,V圖像的前三階顏色矩組成一個9維直方圖向量,即圖像的顏色特徵表示如下:
顏色矩
