背景
數字圖像經過轉換和傳輸後 ,難免產生模糊。 圖像銳化的主要目的在於補償圖像輪廓、突出圖像的邊緣信息以使圖像顯得更為清晰 ,從而符合人類的觀察習慣。 圖像銳化的實質是增強原圖像的高頻分量。
與圖像平滑不同,圖像平滑通過積分過程使圖像邊模糊,圖像銳化則是通過微分過程使圖像變清晰。
圖像銳化的目的:
1)增強圖像邊緣,使模糊的圖像變得更加清晰,顏色變得鮮明突出,圖像的質量有所改善,產生更適合人眼觀察和識別的圖像;
2)希望通過銳化處理後,目標物體的邊緣鮮明,以便於提取目標的邊緣、對圖像進行分割、目標區域識別、區域形狀提取等,進一步的圖像理解與分析奠定基礎。
頻域銳化濾波器
圖像的邊緣、細節主要位於高頻部分,而圖像的模糊是由於高頻部分比較弱產生的。頻率域銳化就是為了消除模糊、突出邊緣。因此採用高通濾波器讓高頻成分通過,使低頻成分削弱,再經傅立葉逆變換得到邊緣銳化的圖像。
常用的高通濾波器有以下幾種:
理想高通濾波器
二維理想高通濾波器的傳遞函式為:
頻域銳化理想高通濾波器如圖:
頻域銳化MATLAB代碼:
結果:
頻域銳化巴特沃斯濾波器
n階巴特沃斯高通濾波器的傳遞函式定義如下:
頻域銳化巴特沃斯高通濾波器如圖:
頻域銳化對Lena圖像進行巴特沃斯高通濾波,結果如下圖:
頻域銳化指數高通濾波器
指數高通濾波器如下圖所示,它的傳遞函式是:
頻域銳化
頻域銳化梯形高通濾波器
梯形高通濾波器如下圖所示,它的定義為:
頻域銳化
頻域銳化四種濾波器的選用類似於低通濾波器。其中理想高通有明顯的振鈴現象,即圖像的邊緣有抖動現象;巴特沃斯高通濾波效果較好,但計算複雜,其優點是有少量低頻通過,H(u,v)是漸變的,振鈴效果不明;指數高通效果比巴特沃斯差些,振鈴現象不明顯;梯形高通會產生微振鈴效果,但計算簡單,較常用。
一般來說,不管在圖像空間域還是頻率域,採用高通濾波不但會使有用的信息增強,同時也會使噪聲增強,因而不能隨便使用。
空間域銳化
梯度銳化法
鄰域平均法或加權平均法可以平滑圖像,反過來利用對應的微分方法可以銳化圖像。微分運算是求信號的變化率,有加強高頻率分量的作用,從而使圖像輪廓清晰。
由於圖像模糊的實質是圖像受到平均或積分運算造成的,所以為了把圖像中任何方向伸展的邊緣和模糊的輪廓變得清晰,可以對圖像進行逆運算如微分運算,從而使圖像清晰化。
拉普拉斯運算元
拉普拉斯運算元是最簡單的各向同性微分運算元,具有旋轉不變性。一個二維圖像函式的拉普拉斯變換是各向同性的二階導數。
圖像銳化處理的作用是使灰度反差增強,從而使模糊圖像變得更加清晰。圖像模糊的實質就是圖像受到平均運算或積分運算,因此可以對圖像進行逆運算,如微分運算能夠突出圖像細節,使圖像變得更為清晰。由於拉普拉斯是一種微分運算元,它的套用可增強圖像中灰度突變的區域,減弱灰度的緩慢變化區域。因此,銳化處理可選擇拉普拉斯運算元對原圖像進行處理,產生描述灰度突變的圖像,再將拉普拉斯圖像與原始圖像疊加而產生銳化圖像。
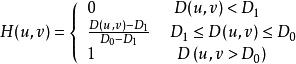
低頻分量消減法
方法1:
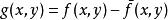
從原圖像f(x,y)中減去平滑低頻分量 ,得到輸出圖像g(x,y)
頻域銳化方法2:
對原圖像進行加權,然後減去低通成分
頻域銳化