概述
將圖像從空間或空間域轉換到頻率域,在頻域裡,採用簡單平均法求頻譜的直流分量。可以構造一個低通濾波器,使低頻分量順利通過而有效地阻於高頻分量,再經過反變換來取得平滑的圖像。
圖像的平滑除了在空間域中進行外,也可以在頻率域中進行。由於噪聲主要集中在高頻部分,為去除噪聲改善圖像質量,濾波器採用,然後再進行逆傅立葉變換獲得濾波圖像,就可達到平滑圖像的目的。
常用的頻率域平滑濾波器有3種:
1)理想低通濾波器
2)巴特沃思低通濾波器
3)高斯低通濾波器
理想低通濾波器
頻域平滑濾波截斷傅立葉變換中的所有處於指定距離之外的高頻成分
頻域平滑濾波
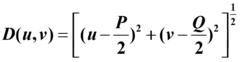
頻域平滑濾波頻率域的中心在 ,從點(u,v)到中心(原點)的距離如下
頻域平滑濾波圖像如下:
頻域平滑濾波
頻域平滑濾波說明:在半徑為的圓內,所有頻率沒有衰減地通過濾波器,而在此半徑的圓之外的所有頻率完全被衰減掉
頻域平滑濾波總圖像功率值
頻域平滑濾波其中,
頻域平滑濾波
頻域平滑濾波
頻域平滑濾波原點在頻率域的中心,半徑為的圓包含的功率
頻域平滑濾波示例如下圖
頻域平滑濾波結論:
①90%以上的功率(能量)集中在半徑小於5的圓周內;
②隨濾波器半徑的增加,越來越少的功率被濾出掉,使模糊減弱;
巴特沃思低通濾波器
n階巴特沃思低通濾波器(BLPF)定義如下
頻域平滑濾波
頻域平滑濾波
頻域平滑濾波
頻域平滑濾波為截至頻率距原點的距離,D(u,v)是點(u,v)距原點的距離。當D(u,v)=時,H(u,v)=0.5(最大值是1,當D(u,v)=0)
它的特性是連續性衰減,而不像理想濾波器那樣陡峭變化,即明顯的不連續性。因此採用該濾波器濾波在抑制噪聲的同時,圖像邊緣的模糊程度大大減小,沒有振鈴效應產生。
頻域平滑濾波套用:
可用於平滑處理,如圖像由於量化不足產生虛假輪廓時,常可用低通濾波進行平滑以改進圖像質量。
通常,BLPF的平滑效果好於ILPF(振鈴現象)。
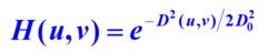
高斯低通濾波器
二維高斯低通濾波器(GLPF)定義如下
頻域平滑濾波
頻域平滑濾波當D(u,v)=時,濾波器下降到它最大值的0.607處
頻域平滑濾波採用該濾波器濾波在抑制噪聲的同時,圖像邊緣的模糊程度較用Butterworth濾波產生的大些,無明顯的振鈴效應
頻域平滑濾波結論:
GLPF不能達到有相同截止頻率的二階BLPF的平滑效果
GLPF沒有振鈴
如果需要嚴格控制低頻和高頻之間截至頻率的過渡,選用BLPF,代價是可能產生振鈴
套用
1)字元識別:通過模糊圖像,橋接斷裂字元的裂縫
2)印刷和出版業:從一幅尖銳的原始圖像產生平滑、柔和的外觀,如人臉,減少皮膚細紋的銳化程度和小斑點
3)處理衛星和航空圖像:儘可能模糊細節,而保留大的可識別特徵。低通濾波通過消除不重要的特徵來簡化感興趣特徵的分析
