背景
圖像在獲取和傳輸等過程中,會受到各種各樣的噪聲干擾。圖像噪聲來自多方面,有系統外部的干擾,如電磁波或經電源串進系統內部而引起的外部噪聲,也有來自系統內部的干擾 ,如攝像機的熱噪聲,電器的機械運動而產生的抖動噪聲等。這些噪聲干擾使圖像退化,質量下降,表現為圖像模糊,特徵淹沒,對圖像分析不利。圖像的平滑是一種實用的數字圖像處理技術,主要 目的是為了減少噪聲 。一個較好的平滑處理方法應該既能消除圖像噪聲,又不使圖像邊緣輪廓和線條變模糊,這就是研究數字圖像平滑處理要追求的目標。
一般情況下,減少噪聲的方法可以在空間域或頻率域進行處理。空間域可以用鄰域平均、空間低通濾波、多圖像平均、中值濾波等方法來減少噪聲 ,在頻率域,由於噪聲頻譜通常在高頻部分,因此可以採用各種形式的低通濾波器的方法減少噪聲。
空間域平滑處理方法
鄰域平均法
空間域平滑鄰域平均法是簡單的空間域處理方法。這種方法的基本思想是用幾個像素灰度平均值來代替每個像素的灰度。假定有一幅 個像素的圖像 f(x,y),平滑處理後得到另一幅圖像g(x,y)。
空間域平滑在上式中,x,y=0,1,2,...,N-1;s為(x,y)鄰域中像素坐標集合,也稱為視窗,不包括(x,y);M表示集合s內像素的總數。常用的領域有4-鄰域,8-鄰域。
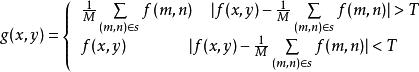
這種處理方法運算簡單 ,計算速度快,它的缺點是降低噪聲的同時使圖像出現模糊 ,特別是在邊緣和細節處 。而且鄰域越大,在去噪聲能力增強的同時模糊程度會得更嚴重。為了克服這一缺點 ,可以用閾值法減少由於鄰域平均所產生的模糊效應。基本方法由下式決定:
空間域平滑式中,T是規定的非負的閾值。物理意義是:當一些點和它鄰域內點的灰度的平均值之差不超過規定的閾值T時,就仍然保留其原灰度值不變 ,如果大於閾值,就用它們的平均值來代替該點的灰度值。這樣就可以大大減少模糊的程度。
為了克服簡單局部平均的弊病 ,目前已提出許多保留邊緣細節的局部平均算法,它們的討論重點都放在如何選擇鄰域的大小、形狀和方向,如何選擇參加平均的點數 以及鄰域各點的權重係數等。它們有 :灰度最相近 個鄰點平均法、梯度倒數加權平滑、最大均勻性平滑、小斜面模型平滑等等。
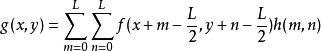
空間域低通濾波法
從信號的角度看,信號緩慢變化主要分布在頻率域的低頻部分,而信號迅速變化的部分主要集中在高頻部分。對圖像來說,它的邊緣以及噪聲干擾的頻率分量都處於頻率較高的部分,因此可以用低通濾波方法去除噪聲。而頻率域濾波可以用空間域的卷積來實現,為此只要恰當地設計空間域系統衝激回響矩陣就可以達到濾波的效果。
空間域平滑式中,g為N×N濾波結果圖像陣列,f為N×N圖像陣列,h為L×L低通濾波陣列
幾種用於低通濾波系統單位衝激回響陣列:
空間域平滑空間域濾波是在圖像空間借勖模板對圖像進行鄰域操作,輸出圖像每—個像素的取值都是根據模板對輸入像素在相應鄰域內的像素值進行計算得到的。空間域濾波器有很多種,它們的共同特點都是讓圖像在傅立葉空間某個範圍分量受到抑制,同時保持其他分量不變,從而改變輸出圖像的頻率布,達到平滑圖像的目的。
多幅圖像平均法
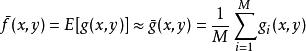
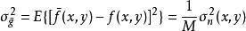
多幅圖像平均法是利用對同一景物的多幅圖像相加取平均來消除噪聲產生的高頻成分。設原圖像為f(x,y),,圖像噪聲為加性噪聲n(x,y),則有噪聲圖像g(x,y),可表示為:g(x,y)=f(x,y)+n(x,y)。
空間域平滑
空間域平滑
空間域平滑若圖像噪聲為互不相關的加性噪聲 ,且均值為 0,則 ,其中, 是g(x,y)的期望值,對M幅有噪聲圖像平均後有 ,誤差是
空間域平滑
空間域平滑
空間域平滑
空間域平滑
空間域平滑
空間域平滑其中, 和 是 和 n 在點(x,y)處的方差,可見對M幅圖像取平均可把方差減少到 ,當M增大時, 將更接近f(x,y)。
多幅圖像取平均處理常用於攝像機的視頻圖像中,用以減少電視攝像機光電攝像管或 CCD 器件所引起的噪聲。這時對同一景物連續攝取多幅圖像並將其數位化,再對多幅圖像求平均,一般選用 8 幅圖像取平均,這種方法在實際套用中的難點在於如何把多幅圖像配準,以便使相應的像素能正確地對應。
中值濾波法
中值濾波也是一種典型的空間域低通濾波器 ,它的目的是保護圖像邊緣的同時去除噪聲。所謂中值濾波,就是指把以某點(x,y) 為中心的小視窗內的所有像素的灰度按從大到小的順序排列,將中間值作為(x,y) 處的灰度值 (若視窗中有偶數個像素,則取兩個中間值的平均)。
下圖為中值濾波的示例。
空間域平滑可以看出中間的6和周圍的灰度相差很大,是一個噪聲點。經過 3 ×1視窗(即水平3個像素取中間值 ) 的中值濾波,得到右邊那幅圖,可以看出,噪聲點被去除了。
中值濾波容易去除孤立點、線的噪聲 ,同時保持圖像的邊緣,它能很好地去除二值噪聲,但對高斯噪聲無能為力。要注意的是,當視窗內噪聲點的個數大於視窗寬度一半時,中值濾波的效果不好。
頻率域低通濾波法
空間域平滑
空間域平滑
空間域平滑
空間域平滑在分析圖像信號的頻率特性時,一幅圖像中的邊緣、跳躍部分以及顆粒噪聲代表圖像信號的高頻分量,而大面積的背景區則代表圖像信號的低頻分量。用濾波的方法濾除其高頻部分就能去除噪聲,使圖像得到平滑。由卷積定理 ,其中, 是含有噪聲圖像的傅立葉變化, 是經平滑處理後圖像的傅立葉變化, 是低通濾波傳遞函式。
下圖是頻率域平滑處理的一般過程:
空間域平滑
空間域平滑
空間域平滑
空間域平滑頻率域平滑處理就是選擇合適的低通濾波器
對的頻譜成分進行調整,然後經逆傅立葉變換得到平滑圖像。
空間域和頻域優缺點
在空間域中,處理方法是沿著噪聲出現的逆過程建立數學模型的,對不是噪聲參與計算的像素值影響很小,而對有噪聲的像素值影響很大 ,具有很強的針對性。而在頻率域處理中由於每個像素值是平等地參與濾波運算,不具有針對性,對有噪聲與沒有噪聲的像素值同等對待 ,因此運算後顯示的圖像有模糊和振鈴現象。
