基本介紹
預解核預解核(resolvent kernel)是用來給出積分方程解的一種積分表示,利用它可以研究積分方程的有關性質。設 是積分方程
預解核
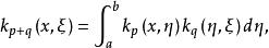
預解核的連續核,則 由遞推公式
預解核
預解核
預解核
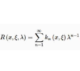
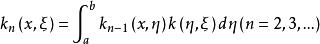
預解核產生的 稱為 的n次疊核,它滿足公式
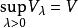
預解核當
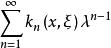
預解核時,級數
預解核
預解核在 上絕對且一致收斂,其和記為
預解核
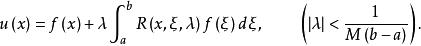
預解核此級數稱為 諾伊曼級數, 稱為積分方程的 預解核。預解核是λ全平面上的半純函式,它在任一有界域內只可能有有限個極點,每個特徵值就是預解核的極點。利用預解核,積分方程的解可表示為
預解核
預解核
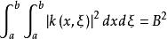
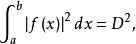
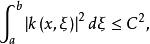
預解核這個結果在L 空間也同樣成立,即設 和 都是平方可積函式,且
預解核記
預解核和
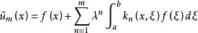
預解核則近似解序列
預解核
預解核在 內絕對且一致收斂,其極限函式給出方程的惟一解 。
預解方程
方程
預解核
預解核稱為 第二種弗雷德霍姆(Fredholm)方程,其中 是常數。
定理 (預解方程)弗雷德霍姆方程(1)的預解核滿足方程
預解核及
預解核
預解核
預解核
預解核
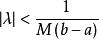
預解核式(2) 與(3)稱為方程(1)的 預解方程。對給定的 如果存在滿足(2) 與(3)式的預解核 ,則稱 為核 的 正則值 。
預解核的構造
預解核
預解核
預解核
預解核
預解核
預解核
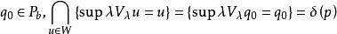
預解核設 為X 上的一個核。一個函式 稱為V-上屬(V-dominant),如果對所有 若 在 上成立,必有 若常數1是 上屬,則稱V滿足完全的極大值原理 。
預解核
預解核
預解核命題1 若 為X 上的子Markov 預解核而V為 的位勢核,那么每一個 上中位函式是V上屬。特別,V滿足完全的極大值原理。
預解核
預解核
預解核
預解核引理設 又設u為V上屬函式使得 且 那么 。
預解核
預解核
預解核
預解核
預解核推論 對每個 線性運算元 是一個單映。若 且 則 。
預解核命題對每個 是一個代數同構。
預解核
預解核
預解核
預解核命題對每個 線性映射 是正的且 對所有
預解核
預解核
預解核命題 是X上的一個子Markov 預解核且V為 的位勢核。
預解核
預解核
預解核定理 設V為X上的有界核。那么X 上存在一個子Markov 預解核使得的充要條件是V滿足完全的極大值原理。這預解核是由V唯一確定的。
預解核
預解核定理設且則下述結論成立:
預解核
預解核
預解核1. 存在唯一的子Markov 預解核使得且是關於P的位勢核。
預解核2. 對每個嚴格的。.
預解核3.是嚴格的。
預解核
預解核
預解核
預解核
預解核
預解核命題設用F表示這樣的全體構成的集:與存在使得那么F是增加的濾子且。
預解核
預解核命題設為關於p的位勢核。那末,對每個,下面命題等價:
預解核(1)
預解核
預解核
預解核(2) 存在使得且。
預解核
預解核
預解核
預解核
預解核
預解核
預解核
預解核
預解核推論設且使得又設V為關於p的位勢核。那么,對每個存在中的序列使得增加收斂於且對每個為A 的緊子集 。

