基矢
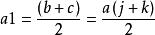
對於這種結構,沿著面的對角線平移面心立方結構,可以證明面心處原子與頂角處原子周圍的情況相同。每個面為兩個相鄰的晶胞所共有,因此面心立方的晶胞具有4個原子。面心立方結構的固體物理原胞基矢取法是從一個又一個頂點作為基矢起點,然後指向最近鄰面心處,即為:
面心立方結構
面心立方結構(此處的 j 應改為 i)
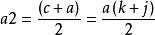
面心立方結構所取原胞的體積:
面心立方結構原胞中只包含一個原子。其中a1,a2,a3,為原胞基矢,a為晶格常數。
倒格矢
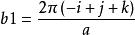
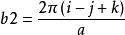
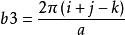
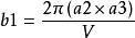
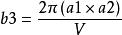
倒格矢分別用b1、b2、b3表示。
面心立方結構
面心立方結構
面心立方結構把a1、a2、a3帶入上式可得:
面心立方結構
面心立方結構
面心立方結構即體心立方。由上面的推算知,面心立方的倒格子為體心立方,同理反推可得,體心立方的倒格子為面心立方。

